本文已被:浏览 560次 下载 2791次
投稿时间:2022-07-07 修订日期:2022-12-31
投稿时间:2022-07-07 修订日期:2022-12-31
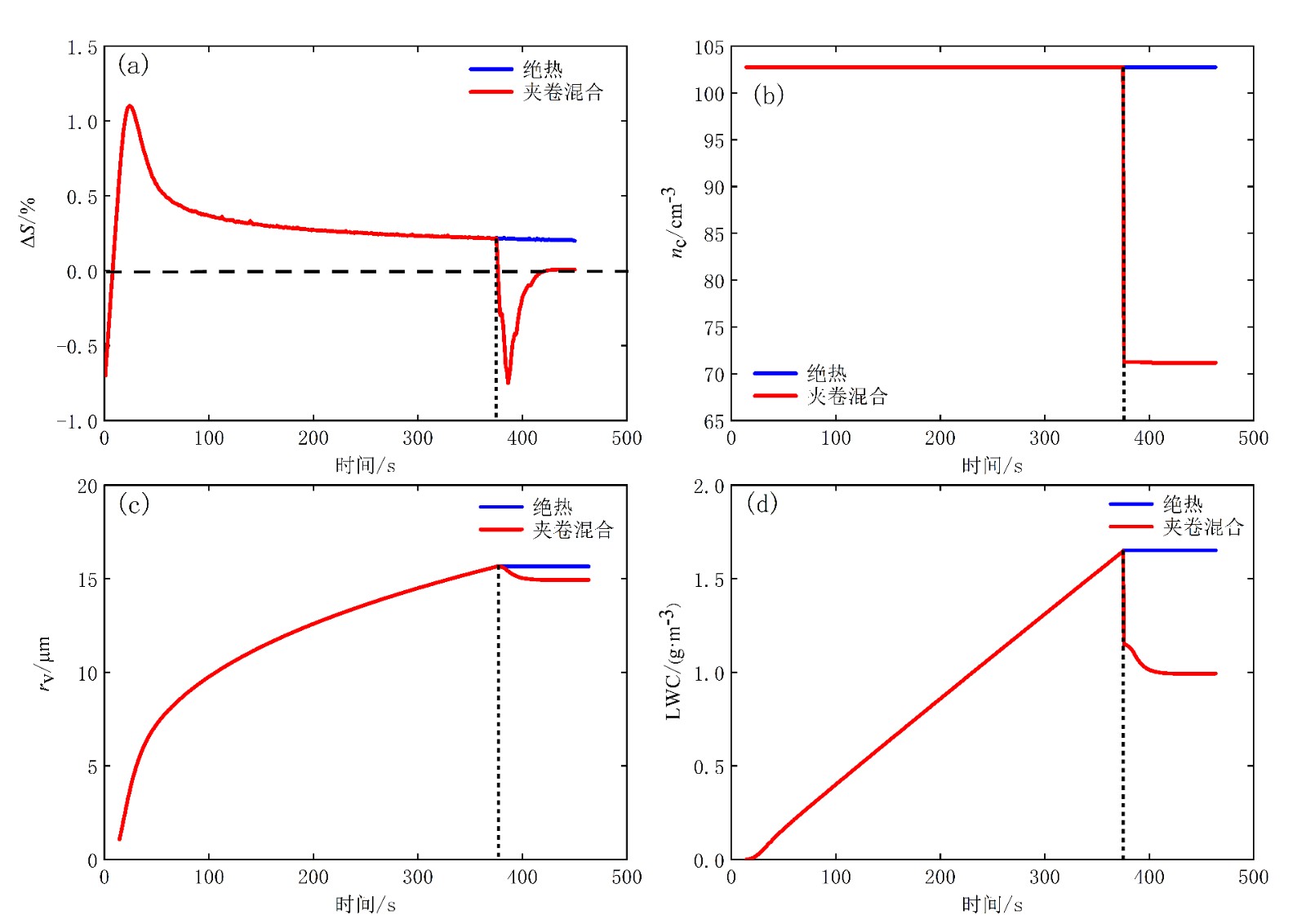
中文摘要: 云内过饱和度是影响云宏微观物理特性的关键之一。利用显式混合气泡模式,首先研究了云滴周围过饱和度在夹卷混合过程中的演变特征,结果表明:过饱和度先因干空气作用减小,后因云滴蒸发作用增大,直到气块恢复饱和。随后分析了不同的热力、动力和微物理因子对过饱和度的减小幅度和饱和恢复快慢程度的影响。敏感性试验表明:减幅小、恢复快的因子是较大的卷入空气相对湿度和初始云滴数浓度;相对湿度越大,夹卷的影响越小;数浓度越大,云滴尺度越小,蒸发越快,对湿度的补充越强。减幅大、恢复慢的因子是较大的卷入空气比例;卷入空气越多,蒸发量越大。减幅大、恢复快的因子是较大的湍流动能耗散率;混合过程越快,云滴蒸发越快。研究结果有助于提升对夹卷混合过程和暖云降水理论的理解。
中文关键词: 云物理,夹卷混合过程,过饱和度,数值模拟
Abstract:Supersaturation in the cloud is the one of key factors affecting cloud macro and micro properties. The Explicit Mixing Parcel Model (EMPM) is used to study the evolution of supersaturation of cloud droplets during the entrainment mixing process. The results show that in this process, the supersaturation decreases firstly due to the entrained dry air, and then increases due to the evaporation of droplets until the parcel restores new saturation. Then, the effects of different thermal, dynamic and microphysical factors on the reduction of supersaturation and saturation recovery time are analyzed. The sensitive test indicates that the factors of small reduction and quick recovery are the high relative humidity of the entrained dry air and the number concentration of initial cloud droplets. The higher humidity, the less effect of entrainment. The higher the number concentration, the smaller droplet size and the faster evaporation, and thus the supplement to the humidity of dry air is strong. The factor of large reduction and slow recovery is the large fraction of entrained dry air. The more the dry air is entrained, the more evaporation of droplets. The factor of large reduction and quick recovery is the high turbulent kinetic energy dissipation rate. The faster the mixing process, the faster cloud droplets evaporate. The results will help to improve the understanding of the entrainment mixing process and warm cloud precipitation theory.
文章编号: 中图分类号: 文献标志码:
基金项目:国家重点研发计划(2019YFA0606803)、国家自然科学基金项目(42175099、42027804)和中央高校基本科研业务费基金项目(J2022-037)共同资助
引用文本:
刘文惠,罗仕,陆春松,赵阳,2023.夹卷混合过程及其影响因子对云内过饱和度的影响[J].气象,49(5):551-562.
LIU Wenhui,LUO Shi,LU Chunsong,ZHAO Yang,2023.Effects of Entrainment Mixing Process and Its Impact Factors on Cloud Supersaturation[J].Meteor Mon,49(5):551-562.
刘文惠,罗仕,陆春松,赵阳,2023.夹卷混合过程及其影响因子对云内过饱和度的影响[J].气象,49(5):551-562.
LIU Wenhui,LUO Shi,LU Chunsong,ZHAO Yang,2023.Effects of Entrainment Mixing Process and Its Impact Factors on Cloud Supersaturation[J].Meteor Mon,49(5):551-562.
