2. 贵州省山地气象科学研究所,贵阳 550081;
3. 贵州省气象服务中心,贵阳 550002
2. Guizhou Institute of Mountainous Meteorological Sciences, Guiyang 550081;
3. Guizhou Meteorological Service Center, Guiyang 550002
观测站百年尺度气象要素观测资料已成为人们认识区域气候变化的基础数据,其中气温序列和数据集的建立及其变化的研究,一直备受关注。Rowntree(1998)介绍了1750年以来全球年气温变化的主要影响因子。王丽萍和郑瑞清(2002)介绍了1841—2001年中国百年温度降水数据集的研制情况,李庆祥和李伟(2007)研制了1951—2004年中国网格气温数据集,国家气象信息中心近几年不断研究并发布了中国及全球百年温度数据集。国内气候变化研究学者从20世纪80年代就开始研究中国区域温度百年变化(张先恭和李小泉,1982;唐国利和林学椿,1992;唐国利等,2009;王绍武,1994;王绍武等,1998;施能等,1995;林学椿等,1995;屠其璞等,1999;任国玉等,2005;李庆祥等,2010;Li et al, 2010; 丁一汇和王会军,2016;严中伟等,2020),构建了中国区域不同阶段的百年尺度以上气温序列。任国玉等(2005)和唐国利等(2009),总结了当时取得的中国百年气温变化研究成果,得出1906—2005年中国的年平均气温上升了0.78℃±0.27℃。丁一汇和王会军(2016)在总结中国的三次气候变化国家评估报告时指出,中国近百年地表气温变化为0.90~ 1.52℃,中值为1.20℃。严中伟等(2020)基于均一化的气温观测序列集,对近百年中国气候变暖趋势进行了再评估,得出1900年以来中国气温变化区间为1.3~1.7 ℃·(10 a)-1。政府间气候变化专门委员会(IPCC)基于改进的观测数据集,第六次评估历史气候变化(孙颖,2021)指出:21世纪以来,全球气候正在快速变暖,2001—2020年、2011—2020年全球平均表面气温相比工业化前(1850—1900年)分别升高了1.09℃、0.99℃。
近30年来,随着观测资料的积累,国内城市、区域百年气温序列构建及变化研究逐渐增多。如郭军等(2011)利用1910—2009年天津气象站逐日最高、最低气温观测资料分析发现,天津市近百年平均气温、最低气温呈显著上升趋势,变化速率分别为0.13 ℃·(10 a)-1、0.28 ℃·(10 a)-1。闫军辉等(2017)分析发现武汉1906—2015年气温变化经历了“暖—冷—暖”3个多年代际波动,年均升温速率为0.31 ℃·(10 a)-1。潘蔚娟等(2021)基于均一化资料对广州近百年气温变化研究得出广州升温速率为1.39 ℃·(10 a)-1。司鹏等(2022)基于国家气象信息中心收集整理的日最高和最低气温观测资料,构建了1841—2019年北京最高和最低气温日值序列,统计得出1911—2019年北京地区年平均气温升高趋势为0.154 ℃·(10 a)-1±0.018 ℃·(10 a)-1(95%不确定性水平估计)。刘蕾等(2022)利用1880—1937年、1952—2020年安徽芜湖站气温观测资料和1901—2020年英国东英吉利大学气候研究中心格点气温资料,构建了1880—2020年芜湖站月平均气温序列。尤卫红等(1997;1998;1999)、陈文秀等(1999)分别应用昆明、成都和西昌插补延长的气温资料,研究了各区域百年气温变化特征。受限于资料长度,贵州区域以器测气温数据为基础的百年气温变化研究欠缺。
由于长期气象观测序列不可避免地受到观测站迁址、仪器更换、观测规则变化(如每日n次观测平均)等非自然因素的影响,导致相关时段的子序列之间存在系统性的偏差,即非均一性。1949年以前,因站址频繁变动、战事、资料保存等原因,我国大多数气象站观测资料缺失较多,刘蕾等(2022)、司鹏等(2022)构建的不同地区百年温度序列都存在不少缺失资料的插补。贵阳国家基准气象站(以下简称贵阳站)于1920年9月5日建站观测,台站历史沿革和观测记录月报表完整,日最高、最低气温数据缺失率小于0.3%,日气温数据缺失率为17.2%。研究人员应用贵阳百年气温资料时,由于没有完全的第一手资料,都存在资料质量控制、非均一性处理问题,如朱亚妮等(2022)在研究20世纪40年代中国“偏暖”工作中所用的贵阳站气温资料,1921—1950年贵阳站气温无缺失、无断点的表述并不准确,主要是因为在贵阳站气象观测月报表中,1938—1944年最高、最低气温数据无缺失,但其记录的最高气温偏高、最低气温偏低,掩盖了该时期两者均值所代替的气温的不准确,这一疑误难以用技术手段发现,只有检验日较差及最高、最低气温序列才会发现问题。迄今为止,1949年以前贵阳气象观测薄记录未数字化,以至于贵阳百年气温序列至今未曾建立。本研究基于贵阳站建站至2023年气温观测记录、月报表和年报表,通过多源、多站数据比对、显著性差异检验和非均一性处理后建立近百年贵阳均一化气温序列,序列插补数据少,其是西南区域乃至国内少有的器测气温序列;该序列可供深入了解云贵高原近百年气温变化和贵州区域气候变化。
1 资料和方法资料源于贵阳站历史沿革、观测薄、月报表和年报表。1949年之前全国气温资料,参考唐国利和林学椿(1992)序列,1949年之后资料来源于国家气候中心。气温序列非均一性检验采用标准正态归一(SNHT)检验(宋超辉等,1995;严小冬等,2009;任国玉等,2010;李庆祥,2011;2016)。显著性水平检验采用黄嘉佑(2010)统计量t分布检验、均值与标准差检验。突变时间检测采用M-K和Yamamoto检验(符淙斌和王强, 1992;丹尼尔·威尔克斯, 2017)。下文介绍1949年之前贵阳站气温数据缺失插补、台站迁移非均一性订正、气温阶段性升降变化判定的技术方法。
1921—1936年贵阳站仅有日最高气温(Tmax)、日最低气温(Tmin)记录,无日平均气温记录,其日平均气温(T),通过式(1)构建。
| $ \begin{equation*} T=\frac{T_{\max }+T_{\min }}{2}-\Delta T \end{equation*} $ | (1) |
式中ΔT为1938—1949年日最高、最低气温均值与对应日平均气温差值的平均值。
根据邻域气温场连续均一原理,在距贵阳站100 km范围内选取一个最优参考站(贵阳站址变动前或后最近一个气候周期逐年气温、逐年气温变化差值相关系数均最高的站),用式(2)对迁站后或前的气温做非均一性订正。与选用多个参考站逐年拟合订正相比,该方法的计算量和多站噪音影响均相对较小。
| $ T_{\mathrm{g}, k}=T_{\mathrm{g}, k-1}+C \times\left(T_{\mathrm{c}, k}-T_{\mathrm{c}, k-1}\right) $ | (2) |
| $ C=\frac{1}{29} \sum\limits_{k=2}^{30}\left(\frac{T_{\mathrm{g}, k}-T_{\mathrm{g}, k-1}}{T_{\mathrm{c}, k}-T_{\mathrm{c}, k-1}}\right) $ | (3) |
式中:Tg, k、Tc, k分别为贵阳站、最优参考站第k年气温, C是以站址迁移年为界的一个气候周期内,贵阳站与参考站站址均无变动的逐年气温变化值比值平均值。
用年气温序列(tj)构建其逐累年平均序列Ti,如式(4)所示,该序列可清楚显示气温阶段性的升降变化,Ti的低值、高值分别对应阶段性升转折年和降转折年。
| $ \begin{equation*} T_{i}=\frac{1}{i} \sum\limits_{j=1}^{i} t_{j} \quad j \leqslant i=1, \cdots, k \end{equation*} $ | (4) |
自1920年9月5日贵阳站建站以来,其站址变动6次,前5次在老城区辗转变动,最远距离为2500 m,最大海拔差为17.6 m;2000年为最后一次迁站,迁站距离为2500 m,海拔差为154 m。2004年起由人工观测改为自动观测,与气温相关的历史沿革数据(吴增祥,2006)见表 1。
|
|
表 1 1920年9月5日至2023年12月31日贵阳站气温相关历史沿革数据 Table 1 Historical evolution of temperature-related data at Guiyang Station from 5 September 1920 to 31 December 2023 |
贵阳站建站以来的气象观测记录月报表完整,1921—1944年月报表中记录有日最高气温、日最低气温及二者均值(代替日气温)和气温日较差。1937年2月起有气象观测薄记录,记录内容包括:逐时气温、日最高气温和日最低气温。图 1是1921—1949年贵阳气象观测薄、月报表整合后的日气温数据缺失情况,日最低气温缺失率为5.2%,日最高气温缺失率为5.3%;日气温:1921—1936年,数据缺失率为100%,1937—1948年,数据缺失率为12.2%,1949年之后,数据完整。需要说明的是:1921—1953年,日最高气温、日最低气温是当日00—23时(北京时,下同)观测值;1954年1月至1960年7月、1960年8月至2023年12月,日最高气温、日最低气温分别是前日19时至当日19时、前日20时至当日20时出现的最高气温和最低气温;1937—1944年、1960年8月至2020年12月,日气温是当日02时、08时、14时、20时的4个时次气温正点观测值平均值;1954年1月至1960年7月,日气温是当日01时、07时、13时、19时的4个时次气温正点观测值平均值。
|
图 1 1921—1949年贵阳站逐年气温数据缺失率 Fig. 1 Annual missing rates of temperature data at Guiyang Station from 1921 to 1949 |
贵州气象档案馆存有贵阳站建站以来完整的气象观测月报表,1937年以来的气象观测记录薄(部分缺失),以及1940年4月13日至6月24日的天气报告明文存根。图 2是用月报表数据建立的1921—2023年最高、最低气温及气温日较差序列。经过滑动t检验、SNHT等方法检测发现:1937年、1944年、1999年3个序列出现断点,其中1938—1944年的气温日较差和1940—1943年的最高、最低气温,与序列均值比较差异显著,差值接近或高于序列3倍标准差。对比表 1,1999年断点是迁站导致,2000年后气温偏低与站址变动相符,1937年、1944年断点与站址变动不符,因此,必须考证1938—1944年贵阳站气象观测月报表中,最低气温显著偏低、最高气温偏高的正确性。这里用贵阳站多源气温观测记录和同期多站气温日较差比对考证,表 2是贵阳站1940年5月观测薄、月报表和天气报3种气温记录统计结果(档案中只有1940年5月有完整天气报文),月报表中气温与天气报一致性很差,最低气温完全不一致,两者最大差值为9.1℃,平均误差为4.6℃,观测薄中气温与天气报一致性高,最低气温两者一致率为87%,两者最大差值为1.1℃,平均误差为0.2℃。图 3展示了贵阳站1940年5月12日观测薄、天气报存根(华氏温度)与手工抄录5月月报表的扫描图像例证,天气报存根中的华氏温度换算为摄氏温度,最高气温为26.5℃、最低气温为17.5℃,与观测薄中18时最高气温26.5℃和07时最低气温17.5℃一致,与月报表中12日第四列最高气温27.2℃、第三列最低气温13.0℃不一致。图 4是1938—1950年贵阳站、独山站、毕节站同期气温日较差序列,图中反映出贵阳站观测薄气温日较差与独山站、毕节站气温日较差变化一致,日较差大小与地理纬度相符(独山位于贵阳东南,毕节位于贵阳西北),而1938—1944年月报表记录与独山站、毕节站差异大,也与地理位置不符。因此,1938—1944年贵阳站月报表中的日最高、最低气温数据不宜用于百年序列构建,构建本序列改用观测薄记录数据。
|
图 2 1921—2023年贵阳站气象观测月报表的最高气温、最低气温、气温日较差序列 Fig. 2 Sequences of maximum temperature, minimum temperature and diurnal temperature range from meteorological observation monthly reports at Guiyang Station from 1921 to 2023 |
|
|
表 2 1940年5月贵阳站观测薄、月报表、天气报的日最高、最低气温记录比对 Table 2 Comparison of daily maximum and minimum temperature records from observation log, monthly report and synoptic report at Guiyang Station in May 1940 |
|
图 3 1940年贵阳站(a, b)5月12日(a)观测薄、(b)天气报存根和(c)5月月报表扫描图像 Fig. 3 Scanned images of (a) the observation log and (b) the stub of synoptic report on 12 May, and (c) the monthly report for May at Guiyang Station in 1940 |
|
图 4 1938—1950年贵阳站、毕节站、独山站气温日较差序列 Fig. 4 Sequences of diurnal temperature range at Guiyang, Bijie and Dushan stations from 1938 to 1950 |
由于1921—1936年无日气温记录,只能用其日最高气温、最低气温通过式(1)构建日气温,用1938—1949年的相应数据作标尺订正两者误差(图 5),图中全量程订正均值与年订正值一致,同为0.7℃,订正值见表 3。
|
图 5 1938—1949年贵阳站日最高和最低气温均值与日气温订正值分布 Fig. 5 Difference distribution between the mean value of daily maximum and minimum temperatures and the corrected daily temperature at Guiyang Station from 1938 to 1949 |
|
|
表 3 1921—1936年贵阳站月、年气温订正值 Table 3 Corrections of monthly and annual temperatures at Guiyang Station from 1921 to 1936 |
1937年、1941年、1944年缺失的月最低、最高气温和月气温数据,用独山站(与贵阳站最高气温、最低气温、气温相关系数分别为0.986、0.994、0.995)同期数据,参考王海军等(2008)、司鹏等(2017)方法补齐。
3.3 不同观测时制年气温相关性及差异贵阳站主要有3种气温观测时制。百年气温序列的日、月、年气温以常用的02时、08时、14时、20时4个时次的观测平均值构建,需分析几种时次观测数据统计气温的误差和相关性,表 4是几种观测时次观测与逐时次观测统计年气温的差异及相关性。人工和自动观测10年期统计结果均表明,贵阳历史上3种气温观测时次与逐时次观测统计年气温的误差在-0.1~0.1℃,相关系数为1.000,因此可使用3种观测时次统计年气温构建百年序列。
|
|
表 4 贵阳站4个时次与逐时次观测统计年气温的差异和相关系数 Table 4 Differences and correlation coefficients between observation four times a day and hourly observation at Guiyang Station in statistical annual temperature |
根据贵阳站历史沿革,影响贵阳站气温序列非均一性的因素(WMO,2006;吴增祥,2005;2006)包括:观测时次差异、观测仪器变更、站址变动、计算方法等。2004年,贵阳站气温观测仪器由人工观测转换为自动观测,已有研究表明两种观测序列无显著差异(王颖和刘小宁,2002;吴兴洋等,2023)。因此,构建贵阳站均一化气温序列的关键是订正1999年贵阳站址变动引起的气温非均一。鉴于1937年以前,贵州仅贵阳有气象观测记录,因此,本研究首先考虑将现址气温订正到旧址(城区),命名为序列1;为了方便后续序列延长,也将2000年前气温订正到现址(东山),命名为序列2。序列1中,清镇站(1970—1999年,贵阳站、清镇站气温及气温逐年变化差值序列的相关系数分别为0.96、0.99)是贵阳站旧址最优参考站,贵阳站旧址2000—2023年气温以贵阳站1999年气温作为初值,根据式(2)用清镇站逐年变化值递推延长,系数C为贵阳站与清镇站1970—1999年逐年气温变化比值平均值。序列2中,乌当站(2000—2023年,贵阳站、乌当站气温及气温逐年变化差值序列的相关系数分别为0.96、0.97)是贵阳站现址最优参考站,贵阳站现址1968—1999年气温以贵阳站2000年气温作为初值,根据式(2)用乌当站逐年变化值递推延长,系数C为贵阳站与乌当站2000—2023年逐年气温变化比值平均值。用现址延长的1970—1999年气温序列与原序列(旧址)差值均值订正原序列1921—1967年逐年气温, 从而得到现址同期气温。
4 贵阳近百年气温统计特征及变化 4.1 贵阳百年气温特征值与变化分析在补齐贵阳近百年气温缺失数据和经过站址变动引起的气温非均一性订正后,建立了城区序列1与东山序列2。序列1和序列2的气温、最高气温、最低气温、气温日较差相关系数分别为0.99、0.98、0.97、0.98。由2个气温序列的百年特征值可见(表 5),序列1和序列2百年中的最高、最低气温出现年一致;同时,城区的气温、最高气温、最低气温平均值分别比东山偏高1.6、1.1、1.7℃,而气温日较差则比东山偏低0.6℃,反映了贵阳城区有较为明显的热岛效应。
|
|
表 5 1921—2023年贵阳气温序列1和序列2特征值(单位:℃) Table 5 Eigenvalues of Guiyang temperature series 1 and series 2 from 1921 to 2023 (unit: ℃) |
图 6a~6d分别是均一化订正前后的贵阳气温、最低气温、最高气温、气温日较差百年序列。与图 2对比可见,1938—1944年最低气温明显偏低、最高气温偏高,且气温日较差明显偏大得到了纠正,站址变动及资料不准确所呈现的断点消失,序列均一性好。订正序列1与月报表序列相比,1921—1937年、1944—1949年月报表序列的最高、最低气温均值代替的气温偏高,1938—1944年最高、最低气温均值代替的气温偏低,1950—1953年的3次观测统计气温偏低(图 6a)。序列1和序列2中,气温变化倾向率分别约为0.14 ℃·(10 a)-1、0.12 ℃·(10 a)-1,最低气温分别约以0.31 ℃·(10 a)-1、0.26 ℃·(10 a)-1的倾向率增大,序列1与序列2气温日较差则分别约以-0.29 ℃·(10 a)-1、-0.27 ℃·(10 a)-1的倾向率减小,最高气温无明显变化(图 6b~6d)。订正前,序列1呈降温趋势,趋势系数为-0.35,订正后,序列1(序列2)气温变化趋势系数分别为:气温为0.56(0.52),最低气温为0.87(0.87)、日较差为-0.84(-0.83),均通过了0.01显著性水平检验。图 6a中1936—1953年贵阳气温波动较大。为此,建立1937年建站且资料较完整的毕节站、独山站1937—2020年气温序列(图 6e),该时期2个站的气温变化与贵阳一致。序列中2011—2023年气温的变化与1936—1948年的变化相似,进一步分析贵阳气温变化周期,贵阳气温存在16年和32年左右的周期,该结果与魏凤英和曹鸿兴(1995)、尤卫红等(1998)的结论相似。
|
图 6 1921—2023年贵阳(a)气温,(b)最低气温,(c)最高气温,(d)气温日较差序列1和序列2,(e)1937—2020年贵阳站、毕节站、独山站气温,(f)1921—2023年贵阳、中国、全球气温标准值距平(以1970—1999年为基准值) Fig. 6 Guiyang temperature series 1 and series 2 from 1921 to 2023: (a) temperature, (b) minimum temperature, (c) maximum temperature, (d) diurnal temperature range, (e) temperature series of Guiyang, Bijie and Dushan stations from 1937 to 2020, (f) standard value anomaly of temperatures in Guiyang, China and the whole globe from 1921 to 2023 (with 1970-1999 as the base period) |
为了评估贵阳站近百年气温序列1、序列2的代表性,利用国家气候中心1951—2020年全国评估气温变化数据、近3年国家气候公报及唐国利和林学椿(1992)研究成果,构建1921—2023年全国气温序列,并与全球气温(https://www.ncei.noaa.gov/data/global-summary)同期序列对比,分析与贵阳站序列1和序列2的相关性,相关系数见表 6。同时,以1970—1999年均值为基准值(该时期观测仪器规格和规范与全国一致),做各序列标准值距平(图 6f),结果表明贵阳气温变化与全球气温变化有较好的一致性,其中1950—1953年是中国气温与全球和贵阳气温差异最大的时期。
|
|
表 6 1921—2023年不同时段贵阳、中国与全球气温序列相关系数 Table 6 Correlation coefficients between the Guiyang and China and the global temperature series in different time periods from 1921 to 2023 |
据式(2)和式(3)建立贵阳站逐累年平均气温、平均最高、最低气温标准值序列(图 7)。由图可见,贵阳气温、最高气温经历了两次明显的“降、升”变化,第一个“降、升”期,序列1和序列2在1921—1936年(降温),1937—1953年(升温)。第二个降温期:序列1是1954—1977年,序列2是1953—1986年;序列1在1978—1986年是弱升温,可能与城市热效应有关,1987年至今序列1和序列2呈升温趋势。最高气温第二个降温期从1954年持续到1996年,1997年后进入升温周期。最低气温仅在1921—1929年是较为明显的降温期,1929年至今呈明显升温趋势。
|
图 7 1921—2023年贵阳站逐累年平均气温、平均最高、平均最低气温标准值序列 Fig. 7 The standard value series of the cumulative annual average temperature, the cumulative annual average maximum and minimum temperatures at Guiyang Station from 1921 to 2023 |
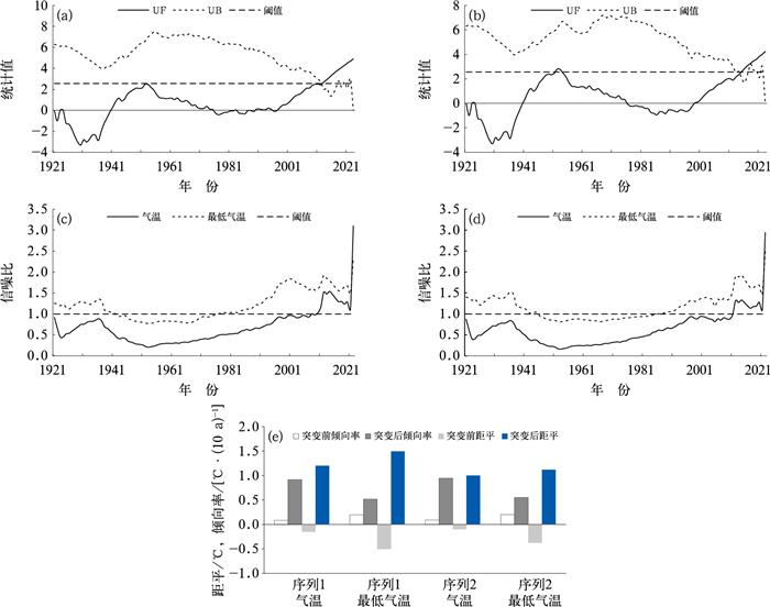
贵阳站气温序列1和序列2的t检验表明,1929年、1936年显著偏冷,2015—2017年、2021年、2023年显著偏暖。由于最高气温没有明显的趋势变化,这里仅对序列1和序列2的气温、最低气温进行突变检测。序列1、序列2的M-K检验(图 8a,8b)和信噪比(图 8c,8d)检验结果相同,2个序列的突变均发生在2011年,图 6a显示2012年之后气温一直处于线性变化趋势线上方,也佐证了这一结果。序列1和序列2的最低气温突变年信噪比和M-K检验有差异,信噪比检验2个序列最近的突变分别发生在1977年、1990年(图 8c,8d),M-K检验(图略)最近的突变年均在1997年,与张寅等(2020)1901—2018年全球最低气温序列最近的一次突变时间一致。图 8e为气温、最低气温突变前后累年平均值距平及突变前后变化倾向率,气温和最低气温突变前累年平均为负距平,突变后累年平均为正距平,突变后距平值超过突变前3倍;突变前、后的气温变化倾向率差异达10倍,最低气温变化倾向率差异约为3倍。
|
图 8 1921—2023年贵阳站(a, c)序列1、(b, d)序列2的(a, b)气温M-K检验, (c, d)气温和最低气温信噪比检验, (e)2个序列气温和最低气温突变前后累年均值距平及变化倾向率 Fig. 8 Statistical tests of temperature series at Guiyang Station from 1921 to 2023:(a, b) M-K test for temperature, (c, d) SNR test for temperature and minimumtemperature of (a, c) series 1 and (b, d) series 2, (e) cumulative annual meanvalue anomalies and tendency rates before and after the abrupt change intemperature and minimum temperature for series 1 and series 2 |
自建站以来贵阳站最高、最低气温数据完整,建立最高、最低气温均值序列,命名为序列3。唐国利和丁一汇(2007)、Liu et al(2019)对比了全国603个观测站1961—2002年气温序列3与序列1的距平序列及增温速率,认为差异不明显,在一定条件下两者可以互相替换,同时也指出最高、最低气温变化普遍存在不对称现象。图 6a~6c中贵阳序列1和序列2都表明贵阳站最高、最低气温变化不同步,最低气温升温早于和快于最高气温,这与江志红和丁裕国(1999)、胡桂芳等(2004)、居丽丽等(2020)研究结果一致。表 7列出了贵阳站序列1和序列3在最近一个升温期(1978—2023年)、突变后(2012—2023年),以及1921—2023年的变化倾向率。序列1和序列3变化倾向率在不同时期都存在差别,最高、最低气温均值序列变化倾向率比气温序列大。
|
|
表 7 1921—2023年贵阳站不同时期气温序列1和序列3的变化倾向率[单位:℃·(10 a)-1] Table 7 The trend rates of temperature series 1 and series 3 at Guiyang Station in different periods from 1921 to 2023 [unit: ℃·(10 a)-1] |
图 9为1921—2023年贵阳百年气温序列1的月变化趋势系数、季节变化倾向率。最高气温变化仅2月升温趋势和7月降温趋势分别通过了0.05和0.01的显著性水平检验;气温升温趋势在降水或雨日偏多的3月、5月、7月、8月及12月,未通过0.05显著性水平检验,1月、4月和6月,通过0.05显著性水平检验,在降水或雨日偏少的2月、9月、10月及11月,通过了0.01显著性水平检验,可见降水对气温、最高气温升温速率有一定程度的调节作用。全年最低气温升温均通过了0.01显著性水平检验,由于最低气温多出现在夜间,季节更替与降水都没有影响其明显的升温趋势,升温应是非自然因素所致。季节上,最低气温四季升温显著;气温在秋、冬季升温明显,夏季是贵阳近百年来气温变化最小的季节;最高气温季节变化不明显。
|
图 9 1921—2020年贵阳站气温序列1的(a)月变化趋势系数和(b)季节变化倾向率 Fig. 9 Temperature trends of series 1 at Guiyang Station from 1921 to 2020 (a) monthly variation trend coefficient, (b) seasonal variation tendency rate |
对贵阳近百年多源气温数据经对比和严格的质量控制后建立均一化序列,得到以下主要结论:
(1) 贵阳气温近百年升温趋势显著,气温升温趋势系数为0.52~0.56,变化倾向率为0.12~0.14 ℃·(10 a)-1,百年间经历了两次主要“升温”过程,早期是1937—1953年,最近一次开始于1978年,与童宣等(2018)、Cao et al(2017)的结论一致,但贵阳的升温过程有区域和阶段性特征,1978—1986年升温缓慢,1987年后升温加快,1996年起升温加速,2011年升温突变。最低气温仅在20世纪30年代出现过短暂降温,1929年以来一直呈震荡上升趋势,百年间变化区间在2.6~3.0℃。百年来年平均气温日较差呈明显减小趋势,减小了2.7~2.9℃,最高气温没有明显的趋势变化,升温主要是由最低气温升高所致,最低气温出现时间为夜间占绝对多数,气候变暖的主要原因应是非自然热力强迫所致。
(2) 秋、冬季升温明显,最低气温和气温夏季升温最少。气温秋季升温最多,5月升温最少,10月升温最多。春、秋季贵阳最低气温(百年平均分别为12.4℃、13.2℃)较低,冬季百年平均气温为6.3℃,且气温日较差为6.5℃,在一定程度上影响人居生活。夏季最高气温介于26.7~29.0℃,变化呈不显著减小趋势,百年均值为28.2℃,未来有较强的避暑优势。
(3) 随着城市化发展,城市规模逐渐扩大,人口增多,城市热效应逐步显现,苗世光等(2020)、张爱英等(2010)、司鹏等(2010)研究表明,城市气象站气温在反映气候变暖方面存在放大现象。白莹莹等(2015)、周晓宇等(2022)、程志刚等(2016)分别利用重庆、昆明气象观测数据、成都MODIS影像数据从不同角度研究了重庆、昆明、成都的城市热效应,贵阳虽然没有此类城市规模大,但其城市热效应有相似之处,夜间强于白天,极端高温有减小情况。序列1和序列2气温日较差变化反映出:自20世纪90年代后期发展至今,贵阳城市气温具有明显的热效应,2000年以来东山与城区日较差平均差值为0.4℃,城区热效应约为0.36℃,可参见李庆祥等(2009)、汪凯等(2010)相关研究。
(4) 近百年来,贵阳气温发生突变对应本区域、中国区域和全球气温升温速率变化的时间节点,有着较强的气候变化信号作用。1997年,贵阳城区最低气温升温强突变,对应中国区域和贵州区域加速升温时间节点,年平均气温2011年发生突变,与全球加速升温一致。
(5) 1937—1953年贵阳发生阶段性升温,1947—1953年“偏暖”,与全球和北半球同期气温变化一致,该结果不同于唐国利和林学椿(1992)构建的中国百年气温序列,即1946年后中国区域气温下降很快,降温早于北半球。1950—1953年是贵阳气温序列与现有中国区域气温序列差异最明显的时期,已有的中国百年气温序列1950—1953年与全球气温变化的差异是否因统计所致,有待考证。该时期在全国有部分台站月报表的气温是三次观测记录,用其统计年气温,气温偏低,在贵阳、贵州区域订正前后的序列中均有反映。
本研究探索了站址迁移引起气温非均一性处理、气温阶段性变化新技术,基于原始观测数据质量控制后建立2个序列,但未订正城市热效应的影响,因此序列还有待进一步改进。由于最高和最低气温的长期变化不同步,因此,用最高、最低气温均值序列研究气温变化,虽然在气温变化趋势方面具有代表性,但其能否准确反映气温变化过程的长期变率,尚需进一步探索。
致谢:感谢1949年之前贵阳测候所的气象观测工作者!特别感谢国家气候中心王长科同志提供的1951—2020年中国区域气温数据。
白莹莹, 程炳岩, 王勇, 等, 2015. 城市化进程对重庆夏季高温炎热天气的影响[J]. 气象, 41(3): 319-327. Bai Y Y, Cheng B Y, Wang Y, et al, 2015. Influences of urbanization speed on the summer high temperature and sultry weather in Chongqing[J]. Meteor Mon, 41(3): 319-327 (in Chinese). DOI:10.7519/j.issn.1000-0526.2015.03.007
|
陈文秀, 郝克俊, 田宏, 1999. 近100年四川气温变化的多时间尺度分析[J]. 成都气象学院学报, 14(1): 78-82. Chen W X, Hao K J, Tian H, 1999. Multiple time scale analyses of surface temperature variations in Sichuan during last 100 years[J]. J Chengdu Univ Inf Technol, 14(1): 78-82 (in Chinese).
|
程志刚, 杨欣悦, 孙晨, 等, 2016. 成都地区夏季城市热岛变化及其与城市发展的关系[J]. 气候变化研究进展, 12(4): 322-331. Cheng Z G, Yang X Y, Sun C, et al, 2016. The trend of summer urban heat island effect and its relationship with urban development in Chengdu[J]. Climate Change Res, 12(4): 322-331 (in Chinese).
|
丹尼尔·威尔克斯, 2017. 大气科学中的统计方法[M]. 朱玉祥, 译. 北京: 气象出版社: 1-25. Wilks D, 2017. Statistical Methods in the Atmospheric Sciences[M]. Zhu Y X, trans. Beijing: China Meteorological Press: 1-25(in Chinese).
|
丁一汇, 王会军, 2016. 近百年中国气候变化科学问题的新认识[J]. 科学通报, 61(10): 1029-1041. Ding Y H, Wang H J, 2016. Newly acquired knowledge on the scientific issues related to climate change over the recent 100 years in China[J]. Chin Sci Bull, 61(10): 1029-1041 (in Chinese). DOI:10.1360/N972015-00638
|
符淙斌, 王强, 1992. 气候突变的定义和检测方法[J]. 大气科学, 16(4): 482-493. Fu C B, Wang Q, 1992. The definition and detection of the abrupt climatic change[J]. Sci Atmos Sin, 16(4): 482-493 (in Chinese).
|
郭军, 任国玉, 任雨, 2011. 近100年天津平均气温与极端气温变化[J]. 高原气象, 30(5): 1399-1405. Guo J, Ren G Y, Ren Y, 2011. Changes of mean and extreme temperatures in Tianjin in recent 100 years[J]. Plateau Meteor, 30(5): 1399-1405 (in Chinese).
|
胡桂芳, 李芸, 李德萍, 2004. 山东近百年来的最高、最低温度变化[J]. 气象, 30(11): 43-46. Hu G F, Li Y, Li D P, 2004. Changes of maximum and minimum temperature for recent 100 years in Shandong Province[J]. Meteor Mon, 30(11): 43-46 (in Chinese). DOI:10.7519/j.issn.1000-0526.2004.11.010
|
黄嘉佑, 2010. 气象统计分析与预报方法: 第3版[M]. 北京: 气象出版社: 298. Huang J Y, 2010. Statistic Analysis and Porecast Methods in Meteorology: 3rd ed[M].
Beijing: China Meteorological Press: 298 (in Chinese).
|
江志红, 丁裕国, 1999. 近百年上海气候变暖过程的再认识——平均温度与最低、最高温度的对比[J]. 应用气象学报, 10(2): 151-159. Jiang Z H, Ding Y G, 1999. Renewed study on the warming process of Shanghai during the past 100 years[J]. Quart J Appl Meteor, 10(2): 151-159 (in Chinese).
|
居丽丽, 史军, 张敏, 2020. 1961—2015年华东地区极端气温变化研究[J]. 沙漠与绿洲气象, 14(3): 112-121. Ju L L, Shi J, Zhang M, 2020. A study of extreme temperature changes in east China from 1961 to 2015[J]. Desert Oasis Meteor, 14(3): 112-121 (in Chinese).
|
李庆祥, 2011. 气候资料均一性研究导论[M]. 北京: 气象出版社: 115. Li Q X, 2011. The Introduction to the Research of Climate Data Homogenization[M].
Beijing: China Meteorological Press: 115 (in Chinese).
|
李庆祥, 2016. 我国气候资料均一性研究现状与展望[J]. 气象科技进展, 6(3): 67-74. Li Q X, 2016. Climate data homogeneity studies in China: progresses and prospects[J]. Adv Meteor Sci Technol, 6(3): 67-74 (in Chinese).
|
李庆祥, 董文杰, 李伟, 等, 2010. 近百年中国气温变化中的不确定性估计[J]. 科学通报, 55(16): 1544-1554. Li Q X, Dong W J, Li W, et al, 2010. Assessment of the uncertainties in temperature change in China during the last century[J]. Chin Sci Bull, 55(16): 1544-1554 (in Chinese). DOI:10.1360/csb2010-55-16-1544
|
李庆祥, 黄嘉佑, 董文杰, 2009. 基于气温日较差的城市热岛强度指标初探[J]. 大气科学学报, 32(4): 530-535. Li Q X, Huang J Y, Dong W J, et al, 2009. An urban heat island intensity index based on temperature diurnal range[J]. Trans Atmos Sci, 32(4): 530-535 (in Chinese).
|
李庆祥, 李伟, 2007. 近半个世纪中国区域历史气温网格数据集的建立[J]. 气象学报, 65(2): 293-300. Li Q X, Li W, 2007. Construction of the gridded historic temperature dataset over China during the recent half century[J]. Acta Meteor Sin, 65(2): 293-300 (in Chinese).
|
林学椿, 于淑秋, 唐国利, 1995. 中国近百年温度序列[J]. 大气科学, 19(5): 525-534. Lin X C, Yu S Q, Tang G L, 1995. Series of average air temperature over China for the last 100-year period[J]. Chin J Atmos Sci, 19(5): 525-534 (in Chinese).
|
刘蕾, 李鸾, 张丽, 等, 2022. 1880—2020年安徽芜湖气温长序列构建及年代际特征[J]. 干旱气象, 40(5): 831-839. Liu L, Li L, Zhang L, et al, 2022. Construction of temperature series and its decadal characteristics from 1880 to 2020 in Wuhu of Anhui Province[J]. J Arid Meteor, 40(5): 831-839 (in Chinese).
|
苗世光, 蒋维楣, 梁萍, 等, 2020. 城市气象研究进展[J]. 气象学报, 78(3): 477-499. Miao S G, Jiang W M, Liang P, et al, 2020. Advances in urban meteorology in China[J]. Acta Meteor Sin, 78(3): 477-499 (in Chinese).
|
潘蔚娟, 吴晓绚, 何健, 等, 2021. 基于均一化资料的广州近百年气温变化特征研究[J]. 气候变化研究进展, 17(4): 444-454. Pan W J, Wu X X, He J, et al, 2021. Study on the change characteristics of Guangzhou centennial air temperature based on the homogenization data[J]. Climate Change Res, 17(4): 444-454 (in Chinese).
|
任国玉, 初子莹, 周雅清, 等, 2005. 中国气温变化研究最新进展[J]. 气候与环境研究, 10(4): 701-716. Ren G Y, Chu Z Y, Zhou Y Q, et al, 2005. Recent progresses in studies of regional temperature changes in China[J]. Climatic Environ Res, 10(4): 701-716 (in Chinese).
|
任国玉, 张爱英, 初子莹, 等, 2010. 我国地面气温参考站点遴选的依据、原则和方法[J]. 气象科技, 38(1): 78-85. Ren G Y, Zhang A Y, Chu Z Y, et al, 2010. Principles and procedures for selecting reference surface air temperature stations in China[J]. Meteor Sci Technol, 38(1): 78-85 (in Chinese).
|
施能, 陈家其, 屠其璞, 1995. 中国近100年来4个年代际的气候变化特征[J]. 气象学报, 53(4): 431-439. Shi N, Chen J Q, Tu Q P, 1995. 4-phase climate change features in the last 100 years over China[J]. Acta Meteor Sin, 53(4): 431-439 (in Chinese).
|
司鹏, 郭军, 赵煜飞, 等, 2022. 北京1841年以来均一化最高和最低气温日值序列的构建[J]. 气象学报, 80(1): 136-152. Si P, Guo J, Zhao Y F, et al, 2022. New series of daily maximum and minimum temperature observations for Beijing, China since 1841[J]. Acta Meteor Sin, 80(1): 136-152 (in Chinese).
|
司鹏, 郝立生, 罗传军, 等, 2017. 河北保定气象站长序列气温资料缺测记录插补和非均一性订正[J]. 气候变化研究进展, 13(1): 41-51. Si P, Hao L S, Luo C J, et al, 2017. The interpolation and homogenization of long-term temperature time series at Baoding Observation Station in Hebei Province[J]. Climate Change Res, 13(1): 41-51 (in Chinese).
|
司鹏, 李庆祥, 李伟, 2010. 城市化进程对中国东北部气温增暖的贡献检测[J]. 气象, 36(2): 13-21. Si P, Li Q X, Li W, 2010. Impact of urbanization on surface air temperature warming in Northeast China[J]. Meteor Mon, 36(2): 13-21 (in Chinese). DOI:10.7519/j.issn.1000-0526.2010.2.002
|
宋超辉, 刘小宁, 李集明, 1995. 气温序列非均一性检验方法的研究[J]. 应用气象学报, 6(3): 289-296. Song C H, Liu X N, Li J M, 1995. A study of testing methods on inhomogeneity of temperature sequences[J]. Quart J Appl Meteor, 6(3): 289-296 (in Chinese).
|
孙颖, 2021. 人类活动对气候系统的影响——解读IPCC第六次评估报告第一工作组报告第三章[J]. 大气科学学报, 44(5): 654-657. Sun Y, 2021. Impact of humanactivities on climate system: an interpretation of Chapter Ⅲ of WGI report of IPCC AR6[J]. Trans Atmos Sci, 44(5): 654-657 (in Chinese).
|
唐国利, 丁一汇, 2007. 由最高最低气温求算的平均气温对我国年平均气温序列影响[J]. 应用气象学报, 18(2): 187-192. Tang G L, Ding Y H, 2007. Impacts of the average air temperature derived from maximum and minimum temperatures on annual mean air temperatures series of China[J]. J Appl Meteor Sci, 18(2): 187-192 (in Chinese).
|
唐国利, 丁一汇, 王绍武, 等, 2009. 中国近百年温度曲线的对比分析[J]. 气候变化研究进展, 5(2): 71-78. Tang G L, Ding Y H, Wang S W, et al, 2009. Comparative analysis of the time series of surface air temperature over China for the last 100 years[J]. Adv Climate Change Res, 5(2): 71-78 (in Chinese).
|
唐国利, 林学椿, 1992. 1921—1990年我国气温序列及变化趋势[J]. 气象, 18(7): 3-6. Tang G L, Lin X C, 1992. Average air temperature series and its variations in China[J]. Meteor Mon, 18(7): 3-6 (in Chinese). DOI:10.7519/j.issn.1000-0526.1992.7.001
|
童宣, 严中伟, 李珍, 等, 2018. 近百年中国两次年代际气候变暖中的冷、暖平流背景[J]. 气象学报, 76(4): 554-565. Tong X, Yan Z W, Li Z, et al, 2018. The background of cold/warm advection for two interdecadal warming processes during the last century in China[J]. Acta Meteor Sin, 76(4): 554-565 (in Chinese).
|
屠其璞, 邓自旺, 周晓兰, 1999. 中国近117年年平均气温变化的区域特征研究[J]. 应用气象学报, 10(S1): 34-42. Tu Q P, Deng Z W, Zhou X L, 1999. Study of regional characteristics on mean annual temperature variation of near 117 years in China[J]. Quart J Appl Meteor, 10(S1): 34-42 (in Chinese).
|
汪凯, 叶红, 唐立娜, 等, 2010. 气温日较差研究进展: 变化趋势及其影响因素[J]. 气候变化研究进展, 6(6): 417-423. Wang K, Ye H, Tang L N, et al, 2010. Research progresses on diurnal temperature range: variation trend and influential factors[J]. Adv Climate Change Res, 6(6): 417-423 (in Chinese).
|
王海军, 涂诗玉, 陈正洪, 2008. 日气温数据缺测的插补方法试验与误差分析[J]. 气象, 34(7): 83-91. Wang H J, Tu S Y, Chen Z H, 2008. Interpolating method for missing data of daily air temperature and its error analysis[J]. Meteor Mon, 34(7): 83-91 (in Chinese). DOI:10.7519/j.issn.1000-0526.2008.07.012
|
王丽萍, 郑瑞清, 2002. 我国近百年温度降水资料现状及数据集的研制[J]. 气象, 28(12): 27-29. Wang L P, Zheng R Q, 2002. Data set of temperature and precipitation in last 100 years in China[J]. Meteor Mon, 28(12): 27-29 (in Chinese). DOI:10.7519/j.issn.1000-0526.2002.12.007
|
王绍武, 1994. 近百年气候变化与变率的诊断研究[J]. 气象学报, 52(3): 261-273. Wang S W, 1994. Diagnostic studies on the climate change and variability for the period of 1880-1990[J]. Acta Meteor Sin, 52(3): 261-273 (in Chinese).
|
王绍武, 叶瑾琳, 龚道溢, 等, 1998. 近百年中国年气温序列的建立[J]. 应用气象学报, 9(4): 392-401. Wang S W, Ye J L, Gong D Y, et al, 1998. Construction of mean annual temperature series for the last one hundred years in China[J]. Quart J Appl Meteor, 9(4): 392-401 (in Chinese).
|
王颖, 刘小宁, 2002. 自动站与人工观测气温的对比分析[J]. 应用气象学报, 13(6): 741-748. |
Wang Y, Liu X N, 2002. Comparative analysis of AWS- and man-observed temperatures[J]. J Appl Meteor Sci, 13(6): 741-748.
|
魏凤英, 曹鸿兴, 1995. 中国、北半球和全球的气温突变分析及其趋势预测研究[J]. 大气科学, 19(2): 140-148. Wei F Y, Cao H X, 1995. Detection of abrupt changes and trend prediction of the air temperature in China, the northern hemisphere and the globe[J]. Sci Atmos Sin, 19(2): 140-148 (in Chinese).
|
WMO, 2006. 气象仪器和观测方法指南[M]. 北京: 气象出版社.
|
World Meteorological Organization, 2006. Guide to Meteorological Instruments and Methods of Observation[M].
Beijing: China Meteorological Press.
|
吴兴洋, 陈怡璇, 支亚京, 等, 2023. 1951—2020年贵州均一化气温序列构建及初步分析[J]. 沙漠与绿洲气象, 17(5): 152-158. Wu X Y, Chen Y X, Zhi Y J, et al, 2023. Construction and analysis of homogenized temperature series in Guizhou from 1951 to 2020[J]. Desert Oasis Meteor, 17(5): 152-158 (in Chinese).
|
吴增祥, 2005. 气象台站历史沿革信息及其对观测资料序列均一性影响的初步分析[J]. 应用气象学报, 16(4): 461-467. Wu Z X, 2005. Preliminary analyses of the information on meteorological station historical evolution and its impacts on homogeneity of observational records[J]. J Appl Meteor Sci, 16(4): 461-467 (in Chinese).
|
吴增祥, 2006. 中国地面气象台站(1950—2004)沿革情况概述[C]//中国气象学会2006年年会"气象史志研究进展"分会场论文集. 成都: 87-97. Wu Z X, 2006. An overview of the evolution of surface meteorological stations in China (1950-2004)[C]//Proceedings of the "Advances in Historical and Chronicles Research in Meteorology" Session at the 2006 Annual Meeting of the Chinese Meteorological Society. Chengdu: 87-97(in Chinese).
|
闫军辉, 刘浩龙, 葛全胜, 等, 2017. 1906—2015年武汉市温度变化序列重建与初步分析[J]. 地理科学进展, 36(9): 1176-1183. Yan J H, Liu H L, Ge Q S, et al, 2017. Reconstruction and analysis of annual mean temperature of Wuhan for the 1906-2015 period[J]. Prog Geogr, 36(9): 1176-1183 (in Chinese).
|
严小冬, 龚雪芹, 石艳, 2009. 贵阳站气温均一性检验与订正[J]. 贵州气象, 33(3): 6-8. Yan X D, Gong X Q, Shi Y, 2009. Homogeneity test and the revised[J]. J Guizhou Meteor, 33(3): 6-8 (in Chinese).
|
严中伟, 丁一汇, 翟盘茂, 等, 2020. 近百年中国气候变暖趋势之再评估[J]. 气象学报, 78(3): 370-378. Yan Z W, Ding Y H, Zhai P M, et al, 2020. Re-assessing climatic warming in China since the last century[J]. Acta Meteor Sin, 78(3): 370-378 (in Chinese).
|
尤卫红, 段旭, 邓自旺, 等, 1998. 全球、中国及云南近百年气温变化的层次结构和突变特征[J]. 热带气象学报, 14(2): 173-180. You W H, Duan X, Deng Z W, et al, 1998. The multihierarchical structure and the jumpfeatures of climate changes for the globe, China and Yunnan during the last one hundred years[J]. J Trop Meteor, 14(2): 173-180 (in Chinese).
|
尤卫红, 段旭, 杞明辉, 1999. 连续小波变换在云南近百年气温和降水变化分析中的应用[J]. 高原气象, 18(1): 47-54. You W H, Duan X, Qi M H, 1999. Continuous wavelet transforms and their applications to surface air temperature and yearly precipitation variations in Yunnan during last one hundred years[J]. Plateau Meteor, 18(1): 47-54 (in Chinese).
|
尤卫红, 林振山, 邓自旺, 1997. 自适应多分辨数据滤波器及其在我国气候诊断中的应用[J]. 大气科学, 21(2): 183-190. You W H, Lin Z S, Deng Z W, 1997. An adaptive multiresolution data filter and its application in climatic diagnosis in China[J]. Sci Atmos Sin, 21(2): 183-190 (in Chinese).
|
张爱英, 任国玉, 周江兴, 等, 2010. 中国地面气温变化趋势中的城市化影响偏差[J]. 气象学报, 68(6): 957-966. Zhang A Y, Ren G Y, Zhou J X, et al, 2010. On the urbanization effect on surface air temperature trends over China[J]. Acta Meteor Sin, 68(6): 957-966 (in Chinese).
|
张先恭, 李小泉, 1982. 本世纪我国气温变化的某些特征[J]. 气象学报, 40(2): 198-208. Zhang X G, Li X Q, 1982. Some characteristics of temperature variation in China in the present century[J]. Acta Meteor Sin, 40(2): 198-208 (in Chinese).
|
张寅, 闫凯, 刘钊, 等, 2020. 基于CRU数据的1901—2018年全球陆表气温时空变化特征分析[J]. 首都师范大学学报(自然科学版), 41(6): 51-58. Zhang Y, Yan K, Liu Z, et al, 2020. Analysis of spatio-temporal variation characteristics of global surface air temperature from 1901 to 2018 based on CRU data[J]. J Capital Norm Univer (Natural Science Edition), 41(6): 51-58 (in Chinese).
|
周晓宇, 王咏薇, 孙绩华, 等, 2022. 昆明城市热岛效应的数值模拟研究[J]. 大气科学, 46(4): 921-935. Zhou X Y, Wang Y W, Sun J H, et al, 2022. A numerical simulation of urban heat island effect in Kunming[J]. Chin J Atmos Sci, 46(4): 921-935 (in Chinese).
|
朱亚妮, 赵平, 曹丽娟, 等, 2022. 中国1940年代"偏暖"的资料问题[J]. 气候与环境研究, 27(2): 230-242. Zhu Y N, Zhao P, Cao L J, et al, 2022. "Warmth" of China in the 1940s due to inhomogeneous data[J]. Climatic Environ Res, 27(2): 230-242 (in Chinese).
|
Cao L J, Yan Z W, Zhao P, et al, 2017. Climatic warming in China during 1901-2015 based on an extended dataset of instrumental temperature records[J]. Environ Res Lett, 12(6): 064005.
|
Li Q X, Dong W J, Li W, et al, 2010. Assessment of the uncertainties in temperature change in China during the last century[J]. Chin Sci Bull, 55(19): 1974-1982.
|
Liu Y L, Ren G Y, Kang H Y, et al, 2019. A significant bias of Tmax and Tmin average temperature and its trend[J]. J Appl Meteor Climatol, 58(10): 2235-2246.
|
Rowntree P R, 1998. Global average climate forcing and temperature response since 1750[J]. Int J Climatol, 18(4): 355-377.
|
2025, Vol. 51 
