2. 中国气象局台风数值预报重点实验室, 上海 200030;
3. 应急管理部国家减灾中心, 北京 10012;
4. 上海亚太台风研究中心, 上海 201306
2. Key Laboratory of Numerical Modeling for Tropical Cyclone, CMA, Shanghai 200030;
3. National Disaster Reduction Center of China, Beijing 10012;
4. Asia-Pacific Typhoon Collaborative Research Center, Shanghai 201306
台风(本文指热带风暴及以上级别的热带气旋)是最具破坏力的自然灾害之一,其引发的暴雨、大风、风暴潮及洪涝、泥石流等次生灾害,可直接损毁基础设施,导致重大人员伤亡和巨额经济损失,对社会安全构成严重威胁(Wu et al,2019;Chen et al,2019;Yu et al,2024;梁军等,2024)。中国地处西北太平洋西岸,有着绵长的海岸线,是全球受台风灾害影响最严重的国家之一。在全球变暖的气候背景下,尽管西北太平洋及南海海域台风生成频数有下降趋势,但其强度、移动速度、活动区域存在增强、加快、北移的趋势,导致中国强台风登陆频次和沿海受台风影响时间有增加的趋势(Webster et al,2005;Liu and Wang, 2020;卢莹等,2021;Studholme et al,2022;Yamaguchi et al,2020;柴博语等,2023;韩岩松等,2023),中国东南部地区年台风总降水量、极端降水和单个台风降水强度也均有显著的增加趋势(Ying et al,2011;巢清尘和巢纪平,2014;黄伟,2013;Liu and Wang, 2020)。近年来,台风引发的极端降水事件(如2021年郑州7·20暴雨、2023年北京7·31暴雨)呈现高频发生特征。随着台风活动危险性和致灾强度的持续加剧,中国沿海地区承灾体暴露度与脆弱性持续偏高,台风灾情特征分析及致灾机理研究的重要性日益凸显(黄燕燕等,2023;林小红等,2023)。
当前,关于台风灾害的研究主要聚焦于时空演变规律、典型事件解析以及年度特征分析等方面。在时空演变规律层面,数据显示致灾台风(damaged tropical cyclone, DTC)年均数量有所上升,台风直接经济损失绝对值持续攀升,但占国内生产总值(GDP)比重呈下降趋势,中国台风灾情总体呈现“损失规模扩大、致死率下降”的态势(雷小途等,2009;Zhang et al,2009;Chen et al,2013;2019;赵珊珊等,2015;刘倩等,2020;卢莹等,2021;李霁杭等,2024)。时空分异特征显示,7—9月为台风灾害高发期,西行和西北行台风为主要致灾路径(卢莹等,2021;赵珊珊等,2023),单个台风降水引发的致灾风险呈显著上升趋势(赵珊珊等,2015;Chen et al,2021)。直接经济损失与台风大风、降水、登陆强度及移速密切相关,大风和降水分别是房屋倒损和农田受淹的主导因素,受灾人口数则与风暴强度显著相关(陈佩燕等,2009;刘倩等,2020;刘方田和许尔琪,2020;姜露露等,2022;刘扬等,2023;张鹏等,2024)。
在典型台风事件层面,研究重点主要集中在台风致灾机理。如2017年第13号台风“天鸽”导致交通中断、电力瘫痪,触发跨产业链损失,凸显关键基础设施的脆弱节点(张云霞等,2021;林舒婷等,2025);2019年第9号台风“利奇马”在浙江引发“强风-暴雨-山洪-滑坡”灾害链(Zhou et al,2022;陈佩燕和陆逸,2022;叶方红等,2023);2020年第6号台风“米克拉”暴露城市林木抗风设计缺陷(吴雨涟等,2023);2023年第5号台风“杜苏芮”残余环流北上导致京津冀极端暴雨,揭示地形抬升与水汽输送的协同放大效应(向纯怡等,2024;颜悠逸等,2024)。此类研究通过灾情实地调查、承灾体脆弱性评估与数值模拟,为差异化防灾策略提供了科学依据(Lu et al,2017;万金红等,2023;吴雨涟等,2023)。
此外,年度分析也是气象灾害特征分析中比较关注的,如国家气候中心每年对全球重大天气气候事件进行总结(张颖娴等,2022;刘远等,2023;代潭龙等,2024)。而针对台风的年度总结,主要有西北太平洋和南海台风预报精度逐年评定(陈国民等,2021;2022;杨梦琪等,2023;2024)和对台风活动主要特征的分析概述(李佳等,2007;应明等,2009;向纯怡等,2022;聂高臻和钱奇峰,2023;聂高臻等,2024)等。虽然以上文章对台风灾情的年度特征做了一定的总结,但受篇幅和主要研究内容等限制,台风灾情相关的综述较为简略。
本文将系统解析2023年中国台风活动与灾情时空特征规律,评估防灾减灾措施对降低灾害损失的实际成效,以期为防台减灾工作提供参考依据。
1 资料与方法本文选取1984—2022年与2013—2022年两个时段作为参考时段,对比分析2023年台风灾害特征及其在历史台风灾害中的相对状况。
1984—2023年的台风最佳路径资料以及风雨数据均源自“中国气象局热带气旋资料中心”网站(https://tcdata.typhoon.org.cn/qzfxzs.html)和中国气象局热带气旋数据库。台风中心位置和强度逐6 h记录一次,2018年以来登陆中国的台风,在其登陆前24 h及在中国陆地活动期间,加密观测为逐3 h一次;台风本体及台风与其他系统相互作用产生的风雨影响范围主要基于物理规律和天气学分析来判定(Ying et al,2014;Lu et al,2021)。本文DTC为风雨影响至少导致一项灾损指标(死亡失踪人数、直接经济损失、房屋倒塌或农作物受灾面积)非零且经应急管理部官方收录的台风。台风致灾数据源自应急管理部和中国气象局(Chen et al,2019; 2021;李霁杭等,2024)。需特别说明的是,本文台风首次登陆强度、风雨及灾情数据未涵盖港澳台地区。
为估计台风降水和大风的综合影响,Chen et al(2019;2021)基于中国台风观测降水、大风与灾情数据的分析,发展了可反映台风灾害严重程度的台风降水影响指数(IPT)、大风影响指数(IWT)、风雨综合影响指数(IPWT)和风雨综合影响等级(CAT_IPWT,按照IPWT值从轻到重依次为0、1、2、3、4,共5个风雨综合影响等级),详细定义参考Chen et al(2021)。评估台风灾损的严重程度,利用台风灾损指标中的死亡失踪人数、农作物受灾面积、房屋倒塌数、直接经济损失率(台风所造成的直接经济损失与上一年GDP之比)计算台风灾损综合评价指数(TDPr)(Chen et al,2013)。需要说明的是,IPWT和TDPr的百分位值为其在历史台风中的百分位排名(即该指标值在历史数据中优于或等于当前值的台风比例)。其中,IPWT百分位值越低,表明台风风雨影响的严重程度越高;TDPr百分位值越低,表明台风引发的综合灾害严重程度越高。
2 2023年致灾台风与历史对比分析 2.1 台风活动特征2023年,西北太平洋和南海共生成17个有正式编号的台风,其中达到强台风及以上级别的有11个。与气候态平均值相比,台风生成频数减少了约37%,但强台风占比增加了33%,呈现出“生成频率低、强度偏高”的显著特征(聂高臻等,2024;Huang et al,2025)。在此背景下,尽管全年台风活动整体不活跃,但部分台风仍对中国沿海地区造成严重灾害。
2023年我国共有6个DTC,分别为第4号台风“泰利”、第5号台风“杜苏芮”、第9号台风“苏拉”、第11号台风“海葵”、第14号台风“小犬”和第16号台风“三巴”,路径见图 1,6个DTC均在我国登陆。其中,台风“杜苏芮”西北行深入内陆,影响范围较大;其余5个DTC的影响区域则主要集中在华南、东南沿海地区。从生成源地看,“三巴”生成于南海,随后北上转向影响华南;其余台风均生成于20°N以南的菲律宾以东洋面,并主要通过西行或西北行路径影响我国。
|
图 1 2023年影响我国的DTC路径 Fig. 1 Distribution of DTC tracks having affected China in 2023 |
从DTC年频数分析,2023年较1984—2022年的年平均频数(7.8个)减少1.8个,较2013—2022年的年平均频数(8.7个)减少2.7个(图 2a)。该差异接近一个标准偏差,表明2023年DTC频数与台风生成频数类似,均呈现偏少态势。
|
图 2 1984—2022年、2013—2022年和2023年我国DTC(a)年频数,(b)月频数分布 注:图a中垂直线段表示标准差。 Fig. 2 Distribution of (a) annual frequency and (b) monthly frequency of DTC in China in 1984-2022, 2013-2022 and 2023 |
从DTC活动月份来看,2023年的7月、9月和10月均有2个致灾DTC,而1984—2022年DTC最多的8月,在2023年8月却较为罕见地无DTC出现,10月的DTC数较1984—2022年及2013—2022年平均值增加近1倍(图 2b),表明2023年DTC活动偏晚,秋季频数较高。
由表 1可见,2023年我国的6个DTC首次登陆的平均近中心最大风速为30.2 m·s-1,中心最低气压为977.8 hPa,比1984—2022年的年平均值(29.0 m·s-1和978.2 hPa)分别高4.1%、低0.04%,比2013—2022年的年平均值(30.6 m·s-1和975.4 hPa)分别低1.3%、高0.2%。2023年DTC年均最大风速在1984—2022年及2013—2022年历史序列中分别位列第13位和第4位。其中,2023年首次登陆强度最强的台风是“杜苏芮”,登陆福建晋江时近中心最大风速为45 m·s-1,中心最低气压为952 hPa。2023年登陆强度为热带风暴、强热带风暴、台风、强台风及以上级别的DTC数分别为1、1、1、3个,其中强台风级及以上级别的数量占比高达50%,比1984—2022年(2013—2022年)的平均1.2个(1.7个)多1.8个(1.3个),差异近乎一个标准偏差,而台风、强热带风暴、热带风暴的数量均较1984—2022年平均偏少。此外,2023年DTC平均影响我国时长为6.4 d,明显长于1984—2022年平均的4.3 d,差异接近3个标准差,其中“海葵”影响时间最长(9月2—15日,14 d)。由此可见,2023年DTC频数虽然偏少,但强度偏强,影响时间偏长。
|
|
表 1 1984—2022年、2013—2022年和2023年我国DTC特征 Table 1 Characteristics of DTC in China in 1984-2022, 2013-2022 and 2023 |
已有研究表明,台风造成的直接经济损失、房屋倒损、农田受淹、受灾人口数等与台风大风和强降水有密切关系,其中最为密切的是过程风速极值、降水强度等(陈佩燕等,2009;刘方田和许尔琪,2020;刘扬等,2023;张鹏等,2024),以下主要从过程最大风速、过程极大风速、过程总降水量、日降水量、小时降水量、风雨综合影响等角度分析DTC的风雨影响特征。
从降水影响来看(表 2),“杜苏芮”在北京霞云岭测站引发的累计降水量达771.0 mm,该数值在1984—2023年单站过程总降水量位列第3,较1984—2022年均值(534.8 mm)提升了44.2%(图 3a)。就日降水强度而言,“海葵”于9月6日在福建福州测站记录到395.9 mm的日降水量极值,该数值在1984—2023年单站日降水量序列中位列第6,较1984—2022年均值(302.8 mm)高出30.7%,与2013—2022年均值(394.6 mm)接近(图 3b)。此外,由“泰利”引发的浙江嘉善测站小时降水量达135.3 mm,刷新了1984—2022年来单站小时降水量极值纪录(图 3c)。可见2023年DTC各时间尺度降水量极值均偏大。
|
|
表 2 2023年我国DTC风雨极值、影响指数和历史百分位值 Table 2 Extreme values of DTC wind and rain, influence index and their historical percentile rankings in China in 2023 |
|
图 3 1984—2023年DTC逐年风雨极值(a) 单站过程总降水量,(b) 单站日降水量,(c) 单站小时降水量,(d) 近地面最大风速,(e) 近地面极大风速 注:绿色和红色实心圆点分别表示1984—2023年最大值和2023年数值。 Fig. 3 Annual extremums of DTC wind and rain in 1984-2023 (a) total precipitation at a single station, (b) daily precipitation at a single station, (c) hourly precipitation at a single station, (d) near-surface maximum wind speed, (e) near-surface extreme wind speed |
从大风影响来看,2023年DTC的近地面最大风速和极大风速的极值分别为“苏拉”影响期间广东上川岛测站9月2日06时(北京时)观测到的32.9 m·s-1和47.0 m·s-1,其中最大风速较1984—2022年平均值(31.5 m·s-1)高出4.4%,低于2013—2022年平均(35.9 m·s-1,图 3d),在1984—2023年排名第17,在2013—2022年排名第7。极大风速较1984—2022年平均值(43.4 m·s-1)高8.3%,较2013—2022年平均值(50.3 m·s-1)低6.6%(图 3e),在1984—2023年排名第17,在2013—2022年排名第9。
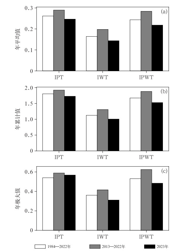
从风雨综合影响来看,根据Chen et al(2019)方法计算得到2023年我国DTC的IPT、IWT、IPWT(表 2)。IWT最大的是“泰利”,表明“泰利”的大风影响较为严重。IPT和IPWT最大为“杜苏芮”,表明“杜苏芮”的降水影响和风雨综合影响较为严重。此外,还可发现除“小犬”IPWT为轻度外,其余均在中度及以上,“杜苏芮”(历史百分位值为7.0%)和“泰利”(历史百分位值为17.9%)更是达到了特重级影响和严重影响的级别(历史百分位值在20.0% 以内)。但2023年6个DTC的IPT、IWT、IPWT指数平均值较1984—2022年平均略偏低,IWT的平均影响降幅最大,且IPT、IWT、IPWT指数极值较2013—2022年平均也略偏低(图 4)。
|
图 4 1984—2022年、2013—2022年和2023年IPT、IWT、IPWT指数统计对比(a) 年平均值,(b) 年累计值,(c) 年极大值 Fig. 4 Statistical comparison of the IPT, IWT and IPWT indices in 1984-2022, 2013-2022 and 2023 (a) annual mean value, (b) annual cumulative value, (c) annual extreme value |
2023年,台风共造成1131.6万人次受灾,紧急转移安置76.2万人次,农作物受灾面积为34.76万hm2,倒塌房屋0.7万间,死亡失踪12人,直接经济损失达474.9亿元,直接经济损失占上一年GDP的0.04%(表 3)。
|
|
表 3 2023年台风灾损情况和历史百分位值排名 Table 3 Typhoon disaster losses and their historical percentile rankings in 2023 |
从空间分布看,2023年台风灾情主要集中在华南、华东部分地区,涉及海南、广东、广西、福建、浙江、江西、安徽,尤以广东、福建最为严重。广东和福建受灾人次数(紧急转移安置人次)均超过了400万(28万)人次,福建更是高达530万(33万)人次,位列第一。广东、福建、广西死亡失踪人数均为4人,同列第一,其余各省份无死亡失踪人员记录。直接经济损失以福建最重,广东次之,分别为269.1亿元、166.5亿元。福建损坏房屋数量为2.8万间,远超其他省份,排名第一。广东的农作物受灾面积和绝收面积分别为21.19万hm2、1.75万hm2,远超其他省份,位列全国第一。
2023年的台风造成的总体损失均相对偏轻,台风造成的死亡失踪人数、倒塌房屋数、农作物受灾面积、TDPr指数均低于1984—2022年和2013—2022年平均值,其中TDPr分别低61.9%和24.2%,虽然直接经济损失高于1984—2022年平均值,与2013—2022年平均相对持平,但扣除GDP逐年提升的影响后,直接经济损失占GDP的比例也低于这两个时间段(图 5)。
|
图 5 1984—2022年、2013—2022年均值与2023年台风灾情指标对比(a) 死亡失踪人数,(b) 倒塌房屋间数,(c) 农作物受灾面积,(d) 直接经济损失,(e) 直接经济损失占GDP比率,(f)TDPr Fig. 5 Comparison of typhoon disaster indicators between the annual values in 1984-2022 and 2013-2022 and the values in 2023 (a) number of deaths and missing persons, (b) number of collapsed houses, (c) affected area of crops, (d) direct economic losses, (e) proportion of direct economic losses in GDP, (f) TDPr |
2023年我国的6个DTC中,受灾人口最多、死亡失踪人数最多、直接经济损失最重的均是“海葵”。紧急转移安置人口和倒塌房屋数量最多的是“杜苏芮”,农作物受灾面积最重的是“三巴”(表 3)。其中“杜苏芮”“苏拉”“海葵”因造成严重灾害而被亚太台风委员会正式除名(中国气象报社,2025),且“杜苏芮”“海葵”入选了“2023年全国十大自然灾害”(应急管理部,2024)。
综上所述,2023年台风所带来的风雨强度与过往年份相比并无明显差异,但从表 2和表 3可以看出,2023年所有DTC的IPWT指数均显著低于其TDPr值,即所有DTC的风雨综合影响均大于其相应的综合灾情,百分位平均差值为26.1个百分点,表明在类似强度的台风风雨影响下,2023年的台风灾情相对较轻。
2.4 致灾台风的极端天气特征与环流机制2023年我国的DTC在降水强度(如刷新纪录的小时降水量、极端日降水量和过程降水量)、影响时长(如超长生命史)及移动路径(如异常西岸登陆)等方面均呈现出显著的极端特征(表 2)。这些极端性的形成主要受大尺度环流背景驱动:在厄尔尼诺转型期与北太平洋暖海温异常环流的共同作用下,西太平洋副热带高压(以下简称副高)表现出异常偏强且西伸的特征(聂高臻等,2024;Huang et al,2025)。值得注意的是,2023年环流存在明显的阶段性差异,导致形成了不同类型的极端台风灾害。
(1) 副高主导阶段(7—8月):强风-暴雨复合灾害。此阶段副高位置偏北、强度偏强且形态稳定。在此环流背景下,台风主要受其南侧的稳定偏东气流引导西行,易于在登陆前后同时遭遇极端大风和强降水。典型代表是“杜苏芮”,其登陆福建晋江时近中心最大风速达45 m·s-1(强台风级),同时在福建莆田等地引发极端日降水量(如354.4 mm),形成显著的“强风-暴雨”复合灾害(罗琪和符娇兰,2023;运晓博等,2023)。其极端降水的物理机制具体表现为:一方面,副高边缘与台风环流耦合形成了强盛的低空急流(向纯怡等,2024),为暴雨区持续输送充沛水汽;另一方面,台风环流与冷空气相互作用触发持续辐合上升运动,加之登陆后受燕山—太行山等地形抬升作用显著放大降水效率(罗琪和符娇兰,2023)。
(2) 季风-冷空气交互阶段(9—10月):持续暴雨与路径异常。进入秋季后环流形势转变,副高西伸并与大陆高压合并,同时季风辐合区南压。此配置下,台风影响常以持续性极端暴雨为主,并可能出现异常路径。典型台风包括“海葵”“三巴”。“海葵”在华南引发长时间强降水(如茂名小时降水量为117.0 mm),其残涡受高压系统阻挡移动异常缓慢,导致影响时间长达14 d,远超历史平均水平,其形成持续暴雨的关键在于季风带来的充沛水汽源源不断输入,配合冷空气与台风残涡交汇触发持续辐合上升运动(华雯丽和张芳华,2023)。同时,“三巴”则表现出显著的路径异常,历史性地在海南岛西岸登陆并二次登陆雷州半岛(宋佳凝等,2024)。此外,该阶段(特别是10月)带状延伸的副高抑制了台风的快速填塞衰减;同时,冷空气的阻挡作用显著减缓了台风的移动速度,导致“三巴”等台风在粤桂交界地区长时间滞留,进一步延长了强降水的影响时间(宋佳凝等,2024)。
在2023年登陆我国的DTC中,“杜苏芮”“海葵”“三巴”因其引发的极端风雨(图 6~图 8)及其显著的防灾减灾实践,具有突出的代表性。
|
图 6 2023年9月2—15日台风“海葵”影响期间(a)累计降水量和(b)极大风速 注:黑色线条表示台风路径。 Fig. 6 (a) Accumulated precipitation and (b) extreme wind speed during the impact of Typhoon Haikui from 2 to 15 September 2023 |
|
图 7 2023年7月26日至8月1日台风“杜苏芮”影响期间(a)累计降水量和(b)极大风速 注:黑色线条表示台风路径。 Fig. 7 (a) Accumulated precipitation and (b) extreme wind speed during the impact of Typhoon Doksuri from 26 July to 1 August 2023 |
|
图 8 2023年10月17—22日台风“三巴”影响期间(a)累计降水量和(b)极大风速 注:黑色线条表示台风路径。 Fig. 8 (a) Accumulated precipitation and (b) extreme wind speed during the impact of Typhoon Sanba from 17 to 22 October 2023 |
“海葵”因超长影响时长共造成福建、广东、江西312万人不同程度受灾,因灾死亡6人,直接经济损失达166.6亿元,其TDPr历史百分位值(1984—2023年)为56.8%,位列2023年DTC之首。其中致福建死亡失踪4人,直接经济损失为115.4亿元,广东死亡失踪2人,直接经济损失为51.1亿元,为“海葵”致灾较重的两个省份。
针对“海葵”造成的极端风雨灾害,福建省防汛抗旱指挥部启动防暴雨Ⅱ级响应,滚动发布风险提示47份;实施人员避险与交通管控,紧急转移安置群众10.99万人,关闭在建工地4453个、水路客运航线11条,福州市区中小学停课并暂停公共交通2天;投入抢险力量5.98万人次及装备2.1万台套,救助遇险群众4963人,抢通国省干道塌方路段76处,恢复电力线路359条,发送预警短信6.7亿条(福建日报,2023)。
3.2 2305号台风“杜苏芮”“杜苏芮”共造成了福建、浙江、安徽、江西、广东约295万人受灾,紧急转移安置26.3万人,倒塌房屋约0.35万间,农作物受灾面积约4.2万hm2,直接经济损失达149.5亿元。其中福建268.2万人受灾,灾情最为严重,倒塌房屋约0.35万间,农作物受灾面积约3.27万hm2,直接经济损失达145.4亿元。“杜苏芮”造成的紧急转移安置人口和房屋倒塌间数为2023年之最。强风和暴雨的双重极端性是“杜苏芮”致灾的主要因素,其风雨综合影响等级为4级,属于最高级别特重影响,位列第19位,IPWT历史百分位值为7.0%。
防灾减灾体系贯穿“杜苏芮”影响全过程:针对东南沿海首当其冲的强风暴雨,中央气象台提前两周(7月17日)锁定登陆路径,福建紧急转移安置26.3万人并实施海陆协同避险,浙江通过精准响应实现人员零伤亡且直接经济损失降至3.5亿元(仅为相似台风“苏迪罗”109.39亿元的3.2%);随着残余环流北上引发京津冀极端暴雨,中央气象台于21日预警华北特大暴雨,27日起组织多部门会商并提前36 h预警京津冀局地累计降水量超600 mm,北京市气象台依托机器学习模型提前5 d追踪路径,提前36.5 h发布暴雨红色预警,联动应急部门安全转移安置54.2万人(含4.2万群众及50万建筑工人),河北省气象台提前48 h发布暴雨红色预警,海河流域中心提前10 d提示洪涝风险;灾后恢复阶段,保险保险公司加速理赔(中国气象报社,2023;中国新闻网,2023a;2024a;2024b)。
3.3 2316号台风“三巴”“三巴”共造成广东、广西、海南等地195.8万人受灾,4人死亡,400余间房屋倒塌,12.34万hm2农作物受灾,直接经济损失达87亿元。“三巴”的风雨综合影响等级为2级,属于中度影响。因其影响期间正遇粤西水稻乳熟期,被淹减产损失较重,因而“三巴”成为2023年造成农作物损失最严重的台风。
针对冷空气与台风叠加导致的持续性暴雨及农业灾害链,防灾减灾举措精准响应:广西区自然资源厅自10月18日起持续升级地质灾害预警,累计发布黄色预警15次、橙色预警2次,向高风险区推送预警短信超23万条,触发监测站点警报50次并发送现场提醒短信270条,同时派遣50人专家组驻守博白县等区域深入隐患点巡查;得益于预警响应联动,全区成功规避6起地质灾害,紧急撤离2082人(中国新闻网,2023b);针对台风与冷空气叠加导致的粤西水稻乳熟期灾害,广东省农业农村厅协同保险机构奔赴茂名、湛江受灾地区,指导抢收与田间管理,各级农业部门依“应急抢险救援”要求调配人力物资,保险公司严格执行“边查勘、边定损、边公示、边赔付”原则,开辟绿色通道加速预赔付流程(中国新闻网,2023c;2023d)。
在台风风雨影响程度与往年相当的前提下,2023年台风灾情相对较轻,主要得益于防灾减灾体系成效的提升。通过多维度、系统化地管控致灾因子、承灾体和孕灾环境,并有效整合科技支撑、应急响应与行业协作等措施,切实降低了灾害损失。
4 结论与讨论基于1984—2022年和2013—2022年历史基准数据的对比分析,本文从DTC频数、强度、风雨影响及灾情等维度解析2023年我国DTC,发现其呈现显著的“高影响、低损失”特征,主要得到以下结论:
(1) 2023年中国DTC共有6个,集中发生于7月、9—10月。台风平均首次登陆强度(30.2 m· s-1)高于1984—2022年均值,平均影响时长(6.4 d) 显著偏长,强台风及以上级别占比(50%)突出。
(2) 2023年台风降水极端性显著,小时降水量(135.3 mm)、日降水量(395.9 mm)、过程总降水量(771.0 mm)均刷新或接近1984—2022年极值,风速影响则与历史持平。台风极端性受环流阶段性差异驱动,其中副高主导期(7—8月)引发“强风-暴雨”复合灾害,季风-冷空气交互期(9—10月)导致持续暴雨与路径异常。
(3) 台风灾情集中于华南、华东7个省份,尤以福建、广东为重。灾情指标系统性偏低,其中死亡失踪人数、倒塌房屋数、农作物受灾面积、TDPr均低于1984—2022年/2013—2022年均值,其中TDPr降幅分别达61.9%和24.2%。直接经济损失绝对值虽高于1984—2022年均值,但占GDP比例(0.04%)低于历史水平。
(4) 在风雨综合影响强度指数IPWT与历史相当(个别达特重级)的背景下,所有DTC的灾情严重程度指数TDPr历史百分位值均低于IPWT百分位值26.1个百分点。这一反差印证了防灾体系的有效性:气象部门精准预判路径与暴雨落区,自然资源、农业农村、水利防汛等应急管理通过灾前转移安置、工程防护、保险协同等跨部门联动,显著降低了灾害损失。这显示了我国防台减灾体系应对极端天气灾害能力的提升,也为未来应对日益复杂的台风灾害风险提供了宝贵的实践经验和科学借鉴。
然而,本研究防灾措施对灾损削减的量化贡献不足,未考虑开展防台措施的成本效益分析,预警响应、工程防护、保险协同等措施的减灾效益,全球变暖背景下台风活动北移趋势的深入研究,还需评估强台风登陆长三角、京津冀等新兴高风险区的长期威胁,制定差异化适应策略。
柴博语, 徐峰, 徐建军, 等, 2023. 近160年西北太平洋副高的年代际变化及其对台风年际变化的影响[J]. 热带气象学报, 39(2): 276-288. Chai B Y, Xu F, Xu J J, et al, 2023. Interdecadal variation of the West Pacific subtropical high and its influence on the variation of typhoons in recent 160 years[J]. J Trop Meteor, 39(2): 276-288 (in Chinese).
|
巢清尘, 巢纪平, 2014. 影响中国及关键经济区热带气旋降水的气候趋势及极端性特征[J]. 大气科学, 38(6): 1029-1040. Chao Q C, Chao J P, 2014. Climatic trends and extremes of tropical cyclone precipitation affecting China and its key economic zones[J]. Chin J Atmos Sci, 38(6): 1029-1040 (in Chinese).
|
陈国民, 杨梦琪, 张喜平, 等, 2022. 2020年西北太平洋和南海台风预报精度评定[J]. 气象, 48(4): 516-525. Chen G M, Yang M Q, Zhang X P, et al, 2022. Verification on forecasts of typhoons over western North Pacific and South China Sea in 2020[J]. Meteor Mon, 48(4): 516-525 (in Chinese). DOI:10.7519/j.issn.1000-0526.2022.022101气象:2022,48(4):516-525
|
陈国民, 张喜平, 杨梦琪, 等, 2021. 2019年西北太平洋和南海台风预报精度评定[J]. 气象, 47(10): 1266-1276. Chen G M, Zhang X P, Yang M Q, et al, 2021. Verification on forecasts of typhoons over western North Pacific and South China Sea in 2019[J]. Meteor Mon, 47(10): 1266-1276 (in Chinese). DOI:10.7519/j.issn.1000-0526.2021.10.009气象:2021,47(10):1266-1276
|
陈佩燕, 陆逸, 2022. 浙江超强台风"利奇马"灾害事件回顾及部门调查情况介绍[J]. 中国减灾, (11): 36-39. Chen P Y, Lu Y, 2022. A review of the disaster event of Super Typhoon "Lekima" in Zhejiang and an introduction to the departmental investigation[J]. Dis Reduct China, (11): 36-39 (in Chinese).
|
陈佩燕, 杨玉华, 雷小途, 等, 2009. 我国台风灾害成因分析及灾情预估[J]. 自然灾害学报, 18(1): 64-73. Chen P Y, Yang Y H, Lei X T, et al, 2009. Cause analysis and preliminary hazard estimate of typhoon disaster in China[J]. J Nat Dis, 18(1): 64-73 (in Chinese).
|
代潭龙, 洪洁莉, 李莹, 等, 2024. 2023年全球重大天气气候事件[J]. 气象, 50(3): 370-376. Dai T L, Hong J L, Li Y, et al, 2024. Global significant weather and climate events in 2023[J]. Meteor Mon, 50(3): 370-376 (in Chinese). DOI:10.7519/j.issn.1000-0526.2024.022101
|
福建日报. (2023-09-07). [2025-03-11]. 台风"海葵"造成我省159.16万人受灾[N/OL]https://www.fujian.gov.cn/xwdt/fjyw/202309/t20230907_6250710.html.
|
People's Daily Fujian. (2023-09-07). [2025-03-11]. Typhoon "Haikui" has caused 1.5916 million people affected in Fujian Province, with direct economic losses exceeding 5 billion yuan[N/OL]. https://www.fujian.gov.cn/xwdt/fjyw/202309/t20230907_6250710.html(in Chinese).
|
韩岩松, 姜伟, 肖玉雯, 等, 2023. 全球变化背景下热带气旋主要变化特征及影响因素[J]. 地球科学进展, 38(5): 515-532. Han Y S, Jiang W, Xiao Y W, et al, 2023. Main change characteristics and influencing factors of tropical cyclones under the background of global change[J]. Adv Earth Sci, 38(5): 515-532 (in Chinese).
|
华雯丽, 张芳华, 2023. 2023年9月大气环流和天气分析[J]. 气象, 49(12): 1553-1560. Hua W L, Zhang F H, 2023. Analysis of the September 2023 atmospheric circulation and weather[J]. Meteor Mon, 49(12): 1553-1560 (in Chinese). DOI:10.7519/j.issn.1000-0526.2023.110701
|
黄伟, 2013. 近30年影响我国东南沿海的热带气旋降水强度变化特征分析[J]. 气候与环境研究, 18(4): 507-516. Huang W, 2013. Changes in the intensity of tropical-cyclone-induced precipitation along the southeastern coast of China between 1978 and 2007[J]. Climatic Environ Res, 18(4): 507-516 (in Chinese).
|
黄燕燕, 蒙伟光, 冯业荣, 等, 2023. 华南登陆台风降水不对称性及持续性问题[J]. 气象, 49(4): 385-399. Huang Y Y, Meng W G, Feng Y R, et al, 2023. Problems in asymmetry and sustainability of landfalling typhoon precipitation over South China[J]. Meteor Mon, 49(4): 385-399 (in Chinese). DOI:10.7519/j.issn.1000-0526.2022.050501
|
姜露露, 马仁锋, 袁海红, 2022. 台风灾害经济损失评估研究进展[J]. 生态科学, 41(3): 252-263. Jiang L L, Ma R F, Yuan H H, 2022. Review on economic loss assessment of typhoon disasters[J]. Ecol Sci, 41(3): 252-263 (in Chinese).
|
雷小途, 陈佩燕, 杨玉华, 等, 2009. 中国台风灾情特征及其灾害客观评估方法[J]. 气象学报, 67(5): 875-883. Lei X T, Chen P Y, Yang Y H, et al, 2009. Characters and objective assessment of disasters caused by typhoons in China[J]. Acta Meteor Sin, 67(5): 875-883 (in Chinese).
|
李霁杭, 沈雨辰, 陈佩燕, 2024. 1989—2021年中国台风灾害及其在自然灾害和气象灾害中的影响研究[J]. 气象科技进展, 14(6): 33-39. Li J H, Shen Y C, Chen P Y, 2024. Research on typhoon disasters in China from 1989 to 2021 and their weighting in natural and meteorological disasters[J]. Adv Meteor Sci Technol, 14(6): 33-39 (in Chinese).
|
李佳, 王晓峰, 梁旭东, 2007. 2006年西北太平洋热带气旋活动综述[J]. 大气科学研究与应用, (2): 12-27. Li J, Wang X F, Liang X D, et al, 2007. Review on the tropical cyclone over the western North Pacific in 2006[J]. Atmos Sci Res Appl, (2): 12-27 (in Chinese).
|
梁军, 张胜军, 贾旭轩, 等, 2024. 登陆北上台风结构变化及其引发的辽东半岛强降水分析[J]. 气象, 50(11): 1306-1316. Liang J, Zhang S J, Jia X X, et al, 2024. Analysis on structure changes of landfall northbound typhoons and the heavy precipitation in Liaodong Peninsula induced by them[J]. Meteor Mon, 50(11): 1306-1316 (in Chinese). DOI:10.7519/j.issn.1000-0526.2024.101201
|
林舒婷, 夏琳琳, 王晓明, 等, 2025. 台风灾害影响的产业链跨部门传导机制——以台风"天鸽"为例[J]. 灾害学, 40(1): 213-219. Lin S T, Xia L L, Wang X M, et al, 2025. Intersectoral transmission mechanism of typhoon disaster impacts across economic supply chains—a case study of Typhoon Hato[J]. J Catastrophol, 40(1): 213-219 (in Chinese).
|
林小红, 杨舒楠, 王健治, 等, 2023. 过台湾岛的台风所引发的东南沿海地区的暴雨特征分析[J]. 气象, 49(9): 1097-1107. Lin X H, Yang S N, Wang J Z, et al, 2023. Characteristics of rainstorm in southeast coastal area caused by typhoon passing through Taiwan Island[J]. Meteor Mon, 49(9): 1097-1107 (in Chinese). DOI:10.7519/j.issn.1000-0526.2023.062702
|
刘方田, 许尔琪, 2020. 海南省台风特点与灾情评估时空关联分析[J]. 灾害学, 35(2): 217-223. Liu F T, Xu E Q, 2020. Spatio-temporal correlation analysis of typhoon characteristics and disaster assessment in Hainan Province[J]. J Catastrophol, 35(2): 217-223 (in Chinese).
|
刘倩, 高路, 赵鹏, 等, 2020. 2000—2016年中国热带气旋灾害时空特征研究[J]. 中国防汛抗旱, 30(5): 50-57. Liu Q, Gao L, Zhao P, et al, 2020. Study on the temporal-spatial characteristics of tropical cyclone disasters in China in 2000-2016[J]. China Flood Drought Manag, 30(5): 50-57 (in Chinese).
|
刘扬, 张立生, 赵慧霞, 2023. 中国台风灾害损失与气象要素的关系分析[J]. 气象与环境科学, 46(4): 1-6. Liu Y, Zhang L S, Zhao H X, 2023. Analysis on the relationship between typhoon disasters and meteorological parameters in China[J]. Meteor Environ Sci, 46(4): 1-6 (in Chinese).
|
刘远, 李莹, 郭增元, 等, 2023. 2022年全球重大天气气候事件[J]. 气象, 49(9): 1142-1148. Liu Y, Li Y, Guo Z Y, et al, 2023. Global significant weather and climate events in 2022[J]. Meteor Mon, 49(9): 1142-1148 (in Chinese). DOI:10.7519/j.issn.1000-0526.2023.042002
|
卢莹, 赵海坤, 赵丹, 等, 2021. 1984—2017年影响中国热带气旋灾害的时空特征分析[J]. 海洋学报, 43(6): 45-61. Lu Y, Zhao H K, Zhao D, et al, 2021. Spatial-temporal characteristics of tropical cyclone disasters in China during 1984-2017[J]. Haiyang Xuebao, 43(6): 45-61 (in Chinese).
|
罗琪, 符娇兰, 2023. 2023年7月大气环流和天气分析[J]. 气象, 49(10): 1277-1284. Luo Q, Fu J L, 2023. Analysis of the July 2023 atmospheric circulation and weather[J]. Meteor Mon, 49(10): 1277-1284 (in Chinese). DOI:10.7519/j.issn.1000-0526.2023.091301
|
聂高臻, 钱奇峰, 2023. 2022年西北太平洋和南海台风活动概述[J]. 海洋气象学报, 43(4): 99-109. Nie G Z, Qian Q F, 2023. Overview of typhoon activities over western North Pacific and the South China Sea in 2022[J]. J Marine Meteor, 43(4): 99-109 (in Chinese).
|
聂高臻, 钱奇峰, 贾莉, 等, 2024. 2023年西北太平洋和南海台风活动概述[J]. 海洋气象学报, 44(4): 101-111. Nie G Z, Qian Q F, Jia L, et al, 2024. Overview of typhoon activities over western North Pacific and the South China Sea in 2023[J]. J Marine Meteor, 44(4): 101-111 (in Chinese).
|
宋佳凝, 董林, 渠鸿宇, 2024. 2023年10月大气环流和天气分析[J]. 气象, 50(1): 126-132. Song J N, Dong L, Qu H Y, 2024. Analysis of the October 2023 atmospheric circulation and weather[J]. Meteor Mon, 50(1): 126-132 (in Chinese). DOI:10.7519/j.issn.1000-0526.2023.091301
|
万金红, 张葆蔚, 张云霞, 等, 2023. 1513号台风"苏迪罗"灾害调查及台风防御对策研究[J]. 中国防汛抗旱, 33(2): 69-74. Wan J H, Zhang B W, Zhang Y X, et al, 2023. Investigation on the disaster of No. 1513 Typhoon "Soudelor" and typhoon defense countermeasures[J]. China Flood Drought Manag, 33(2): 69-74 (in Chinese).
|
吴雨涟, 杨洁, 周亮, 等, 2023. 台风后城市林木损失与恢复情况调查——以厦门大学嘉庚学院为例[J]. 苏州科技大学学报(工程技术版), 36(1): 57-63. Wu Y L, Yang J, Zhou L, et al, 2023. A survey on the loss and recovery of urban trees after typhoon-a case study of Xiamen University Tan Kah Kee College[J]. J Suzhou Univ Sci Technol (Eng Technol Ed), 36(1): 57-63 (in Chinese).
|
向纯怡, 董林, 刘达, 等, 2024. 2023年台风杜苏芮登陆后残涡维持的热力和动力机制研究[J]. 气象, 50(11): 1289-1305. Xiang C Y, Dong L, Liu D, et al, 2024. Thermodynamic and dynamic mechanism of maintenance of Typhoon Doksuri remnant vortex after its landfall in 2023[J]. Meteor Mon, 50(11): 1289-1305 (in Chinese). DOI:10.7519/j.issn.1000-0526.2024.081901
|
向纯怡, 高拴柱, 刘达, 2022. 2021年西北太平洋和南海台风活动概述[J]. 海洋气象学报, 42(1): 39-49. Xiang C Y, Gao S Z, Liu D, 2022. Overview of typhoon activities over western North Pacific and the South China Sea in 2021[J]. J Marine Meteor, 42(1): 39-49 (in Chinese).
|
颜悠逸, 高路, 陈仁德, 等, 2024. 福州市2305"杜苏芮"台风灾害链致灾与成害过程分析[J]. 灾害学, 39(4): 228-234. Yan Y Y, Gao L, Chen R D, et al, 2024. Analysis of disaster and damage process caused by No. 2305 "Doksuri" typhoon disaster chain in Fuzhou City[J]. J Catastrophol, 39(4): 228-234 (in Chinese).
|
杨梦琪, 陈国民, 张喜平, 等, 2023. 2021年西北太平洋和南海台风预报精度评定[J]. 气象, 49(8): 1005-1019. Yang M Q, Chen G M, Zhang X P, et al, 2023. Verification on typhoons forecasts over the western North Pacific and the South China Sea in 2021[J]. Meteor Mon, 49(8): 1005-1019 (in Chinese). DOI:10.7519/j.issn.1000-0526.2023.051101
|
杨梦琪, 陈国民, 张喜平, 等, 2024. 2022年西北太平洋和南海台风预报精度评定[J]. 气象, 50(5): 630-641. Yang M Q, Chen G M, Zhang X P, et al, 2024. Verification on typhoon forecasts over the western North Pacific and the South China Sea in 2022[J]. Meteor Mon, 50(5): 630-641 (in Chinese). DOI:10.7519/j.issn.1000-0526.2024.031404
|
叶方红, 朱小辉, 杨贝妮, 等, 2023. 浙江省丽水市超强台风"利奇马"暴雨洪水调查分析[J]. 浙江水利科技, 51(4): 32-39. Ye F H, Zhu X H, Yang B N, et al, 2023. Investigation and analysis of Super Typhoon "Lekima" rainstorm flood in Lishui City, Zhejiang Province[J]. Zhejiang Hydrotechn, 51(4): 32-39 (in Chinese).
|
应急管理部. (2024-01-20). [2025-03-11]. 国家防灾减灾救灾委员会办公室应急管理部发布2023年全国十大自然灾害[N/OL]. http://www.mem.gov.cn/xw/yjglbgzdt/202401/t20240120_475696.shtml.
|
Ministry of Emergency Management of the People's Republic of China. (2024-01-20). [2025-03-11]. The Office of the National Commission for Disaster Reduction and the Ministry of Emergency Management released the top ten natural disasters in China for 2023[N/OL]. http://www.mem.gov.cn/xw/yjglbgzdt/202401/t20240120_475696.shtml(in Chinese).
|
应明, 余晖, 梁旭东, 等, 2009. 2007年西北太平洋热带气旋活动综述[J]. 气象, 35(2): 94-100. Ying M, Yu H, Liang X D, et al, 2009. Review of the tropical cyclone activities over the Northwest Pacific in 2007[J]. Meteor Mon, 35(2): 94-100 (in Chinese). DOI:10.7519/j.issn.1000-0526.2009.2.014
|
运晓博, 杨寅, 刘海知, 2023. 2023年8月大气环流和天气分析[J]. 气象, 49(11): 1414-1420. Yun X B, Yang Y, Liu H Z, 2023. Analysis of the August 2023 atmospheric circulation and weather[J]. Meteor Mon, 49(11): 1414-1420 (in Chinese). DOI:10.7519/j.issn.1000-0526.2023.092701
|
张鹏, 张云霞, 汪洋, 等, 2024. 1978—2020年中国台风灾害灾情时空分布格局及影响因素分析[J]. 热带地理, 44(6): 1047-1063. Zhang P, Zhang Y X, Wang Y, et al, 2024. Analysis of temporal-spatial patterns and impact factors of typhoon disaster losses in China from 1978 to 2020[J]. Trop Geogr, 44(6): 1047-1063 (in Chinese).
|
张颖娴, 孙劭, 刘远, 等, 2022. 2021年全球重大天气气候事件及其成因[J]. 气象, 48(4): 459-469. Zhang Y X, Sun S, Liu Y, et al, 2022. Global major weather and climate events in 2021 and possible causes[J]. Meteor Mon, 48(4): 459-469 (in Chinese). DOI:10.7519/j.issn.1000-0526.2022.032201
|
张云霞, 闪淳昌, 秦绪坤, 2021. 澳门"天鸽"台风灾害现场调查评估的实践与思考[J]. 中国减灾, (19): 40-45. Zhang Y X, Shan C C, Qin X K, 2021. Practice and reflection on the site investigation and evaluation of Typhoon Hato disaster in Macau[J]. Dis Reduct China, (19): 40-45 (in Chinese).
|
赵珊珊, 李莹, 赵大军, 等, 2023. 2001—2020年中国月尺度热带气旋灾害时空变化特征研究[J]. 气候变化研究进展, 19(5): 592-604. Zhao S S, Li Y, Zhao D J, et al, 2023. Spatio-temporal characteristics of tropical cyclone disaster on monthly scale over China during 2001-2020[J]. Climate Change Res, 19(5): 592-604 (in Chinese).
|
赵珊珊, 任福民, 高歌, 等, 2015. 近十年我国热带气旋灾害的特征研究[J]. 热带气象学报, 31(3): 424-432. Zhao S S, Ren F M, Gao G, et al, 2015. Characteristics of Chinese tropical cyclone disaster in the past 10 years[J]. J Trop Meteor, 31(3): 424-432 (in Chinese).
|
中国气象报社. (2023-12-12). [2025-03-11]. 精准预报预测为防灾减灾抢得先机[N/OL]. https://www.cma.gov.cn/2011xwzx/2011xqxxw/2011xqxyw/202312/t20231212_5944898.html.
|
China Meteorological News Press. (2023-12-12). [2025-03-11]. Accurate forecasting and prediction provides opportunities for disaster prevention and reduction[N/OL]. https://www.cma.gov.cn/2011xwzx/2011xqxxw/2011xqxyw/202312/t20231212_5944898.html(in Chinese).
|
中国气象报社. (2025-05-28). [2025-09-12]. 台风委员会新增3个台风名"杜苏芮""苏拉""海葵"被除名[N/OL]. https://www.cma.gov.cn/2011xwzx/2011xqxxw/2011xqxyw/202505/t20250528_7099553.html.
|
China Meteorological News Press. (2025-05-28). [2025-09-12]. Typhoon Committee adds 3 new typhoon names, "Doksuri", "Saola", and "Haikui" retired[N/OL]. https://www.cma.gov.cn/2011xwzx/2011xqxxw/2011xqxyw/202505/t20250528_7099553.html(in Chinese).
|
中国新闻网. (2023a-09-07). [2025-03-11]. 财险业充分发挥"减震器"功能[N/OL]. http://www.chinanews.com.cn/cj/2023/09-07/10073447.shtml.
|
China News Service. (2023a-09-07). [2025-03-11]. Property insurance industry fully leverages its "shock absorber" function[N/OL]. http://www.chinanews.com.cn/cj/2023/09-07/10073447.shtml(in Chinese).
|
中国新闻网. (2023b-10-22). [2025-03-11]. 妥善应对台风"三巴" 广西成功避险六起地质灾害[N/OL]. https://www.chinanews.com.cn/sh/2023/10-22/10098696.shtml.
|
China News Service. (2023b-10-22). [2025-03-11]. Properly responding to Typhoon "Sanba", Guangxi successfully avoided six geological disasters[N/OL]. https://www.chinanews.com.cn/sh/2023/10-22/10098696.shtml(in Chinese).
|
中国新闻网. (2023c-08-21). [2025-03-11]. 发展农险撑起减灾"防护网"[N/OL]. https://www.chinanews.com.cn/cj/2023/08-21/10064448.shtml.
|
China News Service. (2023c-08-21). [2025-03-11]. Developing agricultural insurance to build a "protective net" for disaster reduction[N/OL]. https://www.chinanews.com.cn/cj/2023/08-21/10064448.shtml(in Chinese).
|
中国新闻网. (2023d-10-23). [2025-03-11]. 台风"三巴"致广东局部受灾严重农业报损逾2亿元[N/OL]. https://www.chinanews.com.cn/sh/2023/10-23/10099298.shtml.
|
China News Service. (2023d-10-23). [2025-03-11]. Typhoon "Sanba" caused severe local disasters in Guangdong, agricultural losses reported over 200 million yuan[N/OL]. https://www.chinanews.com.cn/sh/2023/10-23/10099298.shtml(in Chinese).
|
中国新闻网. (2024a-01-05). [2025-03-11]. 福建连续18年事故起数与死亡人数"双下降"[N/OL]. http://www.chinanews.com.cn/sh/2024/01-05/10141318.shtml.
|
China News Service. (2024a-01-05). [2025-03-11]. Fujian achieves "double decline" in accident frequency and death toll for 18 consecutive years[N/OL]. http://www.chinanews.com.cn/sh/2024/01-05/10141318.shtml(in Chinese).
|
中国新闻网. (2024b-03-12). [2025-03-11]. 中国太保产险打造"线上+线下"一体化营运新模式[N/OL]. http://www.chinanews.com.cn/cj/2024/03-12/10178878.shtml.
|
China News Service. (2024b-03-12). [2025-03-11]. China Taiping P&C Insurance creates a new integrated "online + offline" operation model[N/OL]. http://www.chinanews.com.cn/cj/2024/03-12/10178878.shtml(in Chinese).
|
Chen P Y, Lei X T, Ying M, 2013. Introduction and application of a new comprehensive assessment index for damage caused by tropical cyclones[J]. Trop Cyclone Res Rev, 2(3): 176-183.
|
Chen P Y, Yu H, Cheung K K W, et al, 2021. A potential risk index dataset for landfalling tropical cyclones over the Chinese mainland (PRITC dataset V1.0)[J]. Adv Atmos Sci, 38(10): 1791-1802. DOI:10.1007/s00376-021-0365-y
|
Chen P Y, Yu H, Xu M, et al, 2019. A simplified index to assess the combined impact of tropical cyclone precipitation and wind on China[J]. Front Earth Sci, 13(4): 672-681. DOI:10.1007/s11707-019-0793-5
|
Huang X, Chan J C L, Bai L N, et al, 2025. Tropical cyclone activities in the western North Pacific in 2023[J]. Trop Cyclone Res Rev, 14(2): 145-157. DOI:10.1016/j.tcrr.2025.04.001
|
Liu L, Wang Y Q, 2020. Trends in landfalling tropical cyclone-induced precipitation over China[J]. J Climate, 33(6): 2223-2235. DOI:10.1175/JCLI-D-19-0693.1
|
Lu X Q, Yu H, Ying M, et al, 2021. Western North Pacific tropical cyclone database created by the China Meteorological Administration[J]. Adv Atmos Sci, 38(4): 690-699. DOI:10.1007/s00376-020-0211-7
|
Lu Y, Yu H, Yang Q Z, et al, 2017. Post-disaster survey of Typhoon Megi in Wenzhou City[J]. Trop Cyclone Res Rev, 6(1/2): 34-39.
|
Studholme J, Fedorov A V, Gulev S K, et al, 2022. Poleward expansion of tropical cyclone latitudes in warming climates[J]. Nat Geosci, 15(1): 14-28. DOI:10.1038/s41561-021-00859-1
|
Webster P J, Holland G J, Curry J A, et al, 2005. Changes in tropical cyclone number, duration, and intensity in a warming environment[J]. Science, 309(5742): 1844-1846. DOI:10.1126/science.1116448
|
Wu X H, Xu Z, Liu H, et al, 2019. What are the impacts of tropical cyclones on employment?An analysis based on meta-regression[J]. Wea Climate Soc, 11(2): 259-275. DOI:10.1175/WCAS-D-18-0052.1
|
Yamaguchi M, Chan J C L, Moon I J, et al, 2020. Global warming changes tropical cyclone translation speed[J]. Nat Commun, 11(1): 47. DOI:10.1038/s41467-019-13902-y
|
Ying M, Chen B D, Wu G X, 2011. Climate trends in tropical cyclone-induced wind and precipitation over mainland China[J]. Geophys Res Lett, 38(1): L01702.
|
Ying M, Zhang W, Yu H, et al, 2014. An overview of the China Meteorological Administration tropical cyclone database[J]. J Atmos Ocean Technol, 31(2): 287-301. DOI:10.1175/JTECH-D-12-00119.1
|
Yu H, Chen G M, Wong W K, et al, 2024. WMO typhoon landfall forecast demonstration project (2010-22): a decade of transition from track forecasts to impact forecasts[J]. Bull Amer Meteor Soc, 105(7): E1320-E1349. DOI:10.1175/BAMS-D-23-0085.1
|
Zhang Q, Wu L G, Liu Q F, 2009. Tropical cyclone damages in China in 1983-2006[J]. Bull Amer Meteorol Soc, 90(4): 489-496. DOI:10.1175/2008BAMS2631.1
|
Zhou C, Chen P Y, Yang S F, et al, 2022. The impact of Typhoon Lekima (2019) on East China: a postevent survey in Wenzhou City and Taizhou City[J]. Front Earth Sci, 16(1): 109-120. DOI:10.1007/s11707-020-0856-7
|
2025, Vol. 51 
