2. 中国气象局海峡灾害天气重点开放实验室,福州 350001;
3. 福建省气象台,福州 350001
2. CMA Strait Key Open Laboratory of Severe Weather, Fuzhou 350001;
3. Fujian Meteorological Observatory, Fuzhou 350001
作为强对流天气的伴随现象之一,闪电活动具有发生突然、发展迅速、生消预报难、致灾能力强等特点。在整个闪电生命周期内,地闪初生是对流体首次出现对地放电的时刻,尽管只是整个闪电过程中极短的一个阶段,但地闪初生的时刻是整个闪电过程外推预报的起始点,决定着整个闪电过程可能影响区域的预报,因此,加强地闪初生预报研究,对于降低强对流地闪预报空报率和增加预报提前时间量具有重要的实践意义。
在闪电(地闪)临近预报领域,采用与闪电发生有关的观测数据或物理量(如雷达、闪电定位仪,卫星等观测数据),结合跟踪、外推、深度学习等方法计算未来0~2 h内的闪电位置,同时引入闪电强对流短时、潜势预报格点产品,对外推后的预报结果进行补充和修订是当前闪电(地闪)临近预报的主要方法(吕伟涛等,2009;马颖等,2009;孟青等,2009;郄秀书等,2014;张烨方等,2021;李健等,2022),其包括单体质心跟踪外推(TITAN)、区域综合外推(TREC)、光流法、时序卷积神经网络类等(如ConvLSTM、ConvGRU)方法。在闪电初生预报领域,Yang et al(2024)利用C波段双线偏振雷达研究了雷暴初生、发展和成熟阶段在冻结区、混合相态区和暖云区的动力特征与微物理结构,发现在雷暴体的强上升气流区域(>5 m·s-1)出现水平反射率因子(ZH)增大和差分反射率因子(ZDR)降低的现象,预示着有利于形成雷暴荷电的环境,进而引发频繁的闪电。Nikolov et al(2024)使用主成分分析法对美国大陆和阿拉斯加历史闪电过程的对流体下部电荷垂直分离的影响因素进行了研究,得出低层的温度、湿度和风场是重要的影响因子,导致地面和云层之间的电压增加到触发地闪初生水平。付晓辉(2007)研究指出0℃层附近出现40 dBz的强回波,8 km回波顶高的区域在未来10~80 min可能出现闪电。郑永光和陈炯(2022)梳理了深厚湿对流的特征与触发机制,认为雷暴的触发位置在边界层,辐合线、地形分布、重力波及其相互作用是雷暴发展的有利条件。一些与地闪初生关系比较密切的对流初生领域研究成果和思路也可以作为地闪初生预报的参考,如俞小鼎和郑永光(2020)研究表明冷锋、干线、阵风锋、海风锋辐合线以及地形是触发对流系统的重要因素;郭巍等(2022)利用风云四号A星静止气象卫星(FY4A)的对流初生监测产品分析了12次局地对流过程,得到云顶变温对流体生命周期(包括初生)预判可行性的结论。Mecikalski and Bedka(2006)和Walker et al(2012)基于卫星数据开发了大量对流初生预报产品,主要采用了卫星红外亮温和面积阈值方法,包括UWCI、MB06等算法。随着双偏振雷达的广泛应用,多名学者利用双偏振雷达产品进行闪电初生预报研究,主要研究ZDR、差分传播相移率(KDP)和协相关系数(ρh)与闪电初生的关系,但研究结果不尽相同,杨磊(2019)研究认为首次闪电发生前,对流体内的ZDR不断减小并在-10~0℃层以上出现负值区和小值区,首次闪电发生后回波上部ZDR小值区进一步扩大;崔丹等(2009)研究发现闪电发生前后,对流云上部KDP、ZDR和ρh有明显的变化,高空ZDR由负值变为正值;贺宏兵等(2014)研究发现闪电集中在ZDR为-0.4~1.4 dB、KDP为0~2 °·km-1、ρh为0.96以上的区域。
总体而言,使用双偏振雷达对对流体0℃层以上的粒子特征进行识别与分析,可以有效加深对闪电特别是地闪发生、发展过程的认识,为闪电天气预报提供必要的参考,然而,由于闪电的发生与发展受地形、大气云物理环境等因素的影响,表现出较大的不确定性,不同地区、不同闪电研究对象可能有不同的结论。福建省属山丘地形结构,强对流天气过程受地形影响较大,本研究利用双偏振雷达相态分类(HCL)霰粒子识别产品,对比分析发生、未发生地闪时,对流体发展过程中霰粒子层厚度的时空分布特征。
1 数据与方法 1.1 数据来源使用2022年4月至2024年6月福建省福州市、厦门市、龙岩市3部中国新一代天气雷达S波段增强型双线偏振多普勒天气雷达数据,每6 min体扫一次,选取生命周期内始终位于至少2部雷达200 km探测范围(图 1阴影重叠区域)内的对流体作为研究对象,要求其运动轨迹在该区域内持续存在,提取对应时刻组合反射率(CR)和9个仰角(0.5°、1.5°、2.4°、3.4°、4.3°、6.0°、9.9°、14.6°、19.5°)粒子HCL产品,采用模糊逻辑算法(Park et al,2009)对等效反射率因子(Z)、ZDR、径向速度(v)、相关系数(CC)、部分差分相位(PDP)、KDP等6种数据进行判别,得到小雨、大雨、冰雹、大雨滴、晴空回波、地物、干雪、湿雪、冰晶、霰10种粒子分类结果。
|
图 1 2022年4月至2024年6月福州市、厦门市、龙岩市雷达探测范围(阴影)与闪电定位仪分布(蓝点) Fig. 1 Radar detection range (shaded) and the lightning locator distribution (blue dot) in Fuzhou, Xiamen and Longyan from April 2022 to June 2024 |
地闪数据来源于福建省ADTD闪电定位系统,该闪电定位系统由16套闪电定位仪组成,具体分布位置如图 1蓝点所示。由于ADTD闪电定位资料存在一定的错误数据,为规避错误的地闪数据对本研究对象遴选与分析的干扰,在个例遴选与分析前对地闪数据进行基于雷达CR的质量控制,目前国内多位学者研究认为地闪活动在雷达CR≥30 dBz不同地区可能有不同的结果,如石玉恒等(2012)对北京地区14次雷暴过程中闪电与雷达回波关系的相关性研究中得出-15℃、30 dBz的指标;刘晓东(2011)研究发现负地闪发生在回波强度≥35 dBz、云顶高度为7 km左右的区域;刘维成等(2015)对甘肃中部2011年和2012年夏季对流性降水雷达回波单体与闪电活动之间的对应关系进行了分析,得出地闪活动主要发生在CR≥35 dBz的区域;张烨方等(2021)对福建省发生地闪区域的历史雷达CR进行了概率密度统计,根据统计结果使用37 dBz作为地闪临近预报初始场识别的基准。考虑实际业务中一些尺度较大(如一些中尺度复合体)、雷达CR不高的雷暴过程也偶有小于30 dBz的区域出现地闪情况,本研究选择25 dBz作为地闪CR质量控制的基准,以0.01°×0.01°为基本格点,若地闪所在经纬度格点及其周边外延1个格点(共9个格点),在该次地闪发生时刻的前后各1个雷达时次及最近时次中,雷达CR均未超过25 dBz,则将该地闪记录予以剔除。
1.2 样本遴选样本包括对流体在生命周期内有、无地闪发生两类,国内很多学者对闪电发生位置与雷达反射率的相关性进行了研究,得出闪电活动区域的雷达反射率为43~48 dBz(李南等,2006;徐迎港等,2021;何文等,2018;张烨方等,2019)。为了同时兼顾无地闪发生的对流体特征,选择比现有研究结果稍低的值(40 dBz)作为标准,划分正、负样本的对流体研究区域。
将发生地闪初生的样本定义为正样本,以对流体首次地闪发生时刻为基准,选取最近的雷达体扫时间,提取该时次中CR≥40 dBz且覆盖地闪发生位置的封闭区域作为跟踪对象。统计所有对流体个例在首次地闪发生前60 min内的霰粒子层厚度,若有效观测时长不足60 min,仅采用已有观测数据;若超过60 min,则截取前60 min数据。霰粒子识别参考双偏振雷达164号产品,其层厚度计算方法详见1.3节。
无地闪发生的样本记为负样本,以对流体首次出现雷达CR≥40 dBz的时刻为起点,末次出现该反射率阈值的时刻为终点,选取该时段内CR≥40 dBz的封闭区域作为跟踪对象,采集各时刻的霰粒子层厚度。
1.3 霰粒子层厚度计算方法对流体出现霰粒子的最低仰角处的高度记为h1,存在霰粒子的最高仰角处的高度记为h2,则h1~h2表示对流体个例霰粒子层的厚度。由于双偏振雷达HCL的霰粒子产品为径向数据格式,而霰粒子层厚度计算的是竖直距离,因此需要在同一个经纬度位置分析不同仰角的霰粒子分布情况,然后对霰粒子层厚度进行计算。受探测角度限制、遮挡等因素影响,单独一部雷达对霰粒子层厚度的计算可能存在较大偏差,最佳的计算结果是将雷达1的角度1与雷达2的角度2融合(图 2),因此实际霰粒子层厚度计算由对流体范围内多部雷达的综合数据计算获得,具体计算方法是对每个时刻遍历每个雷达的所有仰角,将对流体所在位置所有出现霰粒子仰角对应的高度存放在一个列表中,最后计算列表中最大值与最小值的差值,即为多部雷达综合计算得到的对流体霰粒子层厚度,其中霰粒子高度采用雷达仰角进行计算。
|
图 2 霰粒子层厚度计算示意图 Fig. 2 Schematic diagram for calculating the thickness of graupel particle layer |
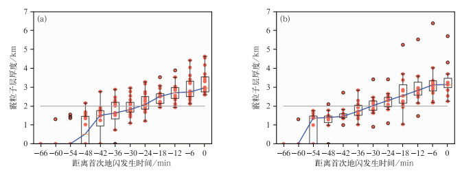
基于样本采集方法,获得福建省2022年4月至2024年6月32个有地闪发生和22个无地闪发生的对流过程样本,以霰粒子层厚度为纵坐标,正样本以地闪初生时刻、负样本以对流体最后出现CR≥40 dBz时刻为横坐标的终点,对每个时刻的所有样本计算其95%分位点、75%分位点、中位数、25%分位点、5%分位点,将所有时刻相同的分位点连接成曲线(图 3)。对32个正样本、22个负样本根据每个样本、每个时刻的霰粒子层厚度值的大小填充不同的颜色,绘制成样本时序色块图(图 4)。
|
图 3 2022年4月至2024年6月(a)有、(b)无地闪发生霰粒子层厚度样本数据时序分位数曲线 Fig. 3 Time-sequence quantile curves of graupel particle layer thickness (a) with or (b) without cloud-to-ground lightning based on sample data from April 2022 to June 2024 |
|
图 4 2022年4月至2024年6月(a)有、(b)无地闪发生霰粒子层厚度样本数据时序色块图 注:黑框中的色块代表霰粒子厚度层超过2 km的时刻。 Fig. 4 Time-sequence color block diagram of graupel particle layer thickness (a) with or (b) without cloud-to-ground lightning based on sample data from April 2022 to June 2024 |
由图 3可知,有地闪发生的对流体样本中,霰粒子层厚度呈现逐步增大的趋势,所有样本出现首次地闪时刻的霰粒子层厚度至少达到2.26 km(样本在零时刻的最小值);在无地闪发生的对流体样本中,霰粒子层厚度随对流体的生命周期增长呈现先增大后减小的趋势,绝大多数(95%分位点)时刻样本霰粒子层厚度都小于2.2 km,最大的霰粒子层厚度也只达到2.5 km。由图 4可知,正样本色块图颜色值明显大于负样本,正、负样本的平均值分别为2.38 km和1.20 km;由于正、负样本在对流体发展过程中霰粒子层厚度都呈现增大趋势,且正、负样本在霰粒子层厚度的数值区间上有一定的差异,因此通过提取一定的霰粒子层厚度阈值,对任意样本属于正、负样本的可能性进行识别,结合所提取霰粒子层厚度阈值在正样本中表现的预报提前时间,实现对对流体未来时刻出现地闪初生的预报。
根据图 3、图 4可知,在有地闪发生的对流体样本-18~-12 min区间内,霰粒子层厚度有95%以上样本都大于2 km,而在无地闪发生的22个对流体样本中,仅有5个样本出现对流发展过程中霰粒子层厚度大于2 km的情况。按上述预报指标,对32个+22个样本进行预报效果分析,结果显示,54个对流过程样本中,漏报0次,空报5次,命中32次。使用TS评分计算预报效果,即:
| $ \mathrm{TS}=\frac{\text { 命中次数 }}{\text { 命中次数 }+ \text { 漏报次数 }+ \text { 空报次数 }} $ | (1) |
根据式(1)计算得到对流体有、无地闪发生的TS=0.864,在上述预报指标下所有正样本预报提前的时间中,最少预报提前12 min,最大预报提前48 min,平均预报提前28.13 min,在不考虑其他气象数据的情况下,仅靠霰粒子层厚度来识别地闪初生具有一定的预报潜力。
对所有对流体个例在首次地闪发生时刻前66 min内的霰粒子层厚度进行统计,根据福建省闪电天气的背景特征,将样本分成夏季副热带高压(以下简称副高)或副高边缘型、冷暖切变线及槽活动型进行分析,按个例遴选的天气分型标准绘制箱线、中位数折线图(图 5),由图 5可知,冷暖切变线与槽活动型的地闪初生需要更长的电荷积累时间,霰粒子层出现与增厚的时间比副高或副高边缘型多1~2个体扫时刻,地闪初生时霰粒子层厚度比副高或副高边缘型略大、分散,而副高或副高边缘型的地闪初生前则不需要更长的时间积累,地闪初生速度比较快,有些个例开始就出现两个仰角观察到霰粒子且厚度突破2 km,只经过3~4个雷达时次即快速出现首次地闪,同时样本个例的数据偏差比较小。此外,冷暖切变线类型比较容易出现分散的霰粒子,副高边缘型容易出现成片的霰粒子分布,这可能与对流体的动力、热力、水汽等背景的强弱有关。但不管是哪种天气分型,霰粒子层厚度的时序特征与对流体是否有地闪发生的关系都相同,不同天气分型对地闪初生预报指标没有明显影响。
|
图 5 2022年4月至2024年6月不同天气分型霰粒子层厚度样本数据时序统计箱线图
注:箱线图中触须的下端和上端分别代表统计最小值和最大值,箱体内三条绕线自下而上分别代表第25%、50%和75%分位值;蓝线为中位数折线;灰线为2 km高度;黑色圆圈为异常值。 (a)副高或副高边缘个例, (b)冷暖切变线及槽活动个例 (a) subtropical high or subtropical high edge case, (b) cold-warm shear line and trough activity case Fig. 5 Box plots of time-sequence statistics of graupel particle layer thickness for different weather types based on sample data from April 2022 to June 2024 |
闪电的产生要求云层中有足够的电荷量,通过放电的形式实现云中电荷的转移。在地闪发生前的对流层电荷积累模型研究中,国内外学者通过野外观测、实验室模拟和数值计算等方式,研究了雷暴云内的起电过程,建立了包括对流起电、非感应起电和感应起电在内的多种机制,明确了水汽相变、粒子碰撞和电场作用等因素的关键作用。其中,非感应起电是雷暴云中粒子荷电的最主要过程,而霰粒子作为主要荷电粒子,对闪电初期的电荷积累具有重要指示意义(王飞等,2016;郭凤霞和孙京,2012;张义军和周秀骥,2006;蒙伟光等,2008)。
多项研究已证实了霰粒子与闪电云荷电的相关性,如Tsenova et al(2017)分析孤立闪电过程发现,霰粒子集中区域是云中电荷密度最高的区域;张鸿波等(2021)利用电场探空结合高斯定理一维近似,计算得出云内0℃层以上是电荷聚集的关键区域;李万莉等(2012)通过中尺度模式RAMS模拟北京闪电首次放电前的电荷结构,发现霰粒子分布形态与云内总电荷分布形态相似;李晓敏等(2017)系统分析北京闪电单体内水成物粒子的时间演变特征,指出雷暴发展至成熟阶段对流层中层5~8 km高度存在雨滴减少、霰粒子增多的现象,与本研究数据基本一致;此外,陈渭民(2006)给出了Tiwi岛地闪过程的地闪与霰通量时序图(图 6),显示霰通量于02:00(世界时)开始增大,约1 h后的03:00出现首次地闪活动,且首次地闪前15 min左右霰通量有明显突增,这与本研究提出的预报指标具有相似性。
|
图 6 1995年11月28日02:00—08:00(世界时) Tiwi岛地闪过程地闪频率与降水量通量、霰通量关系(陈渭民,2006) Fig. 6 Relationship between the cloud-to-ground lightning frequency and the precipitation flux and graupel flux during cloud-to-ground lightning process on Tiwi Island from 02:00 UTC to 08:00 UTC 28 November 1995 (Chen, 2006) |
霰和冰晶粒子之间的起电是闪电前期积累电荷的主要方式,因此当霰粒子出现后,对流体中开始快速积累电荷,闪电的产生需要足够的电荷击穿空气的电场,霰粒子持续、大量的存在有助于满足这个条件,即霰粒子出现后需持续一段时间、达到一定厚度,才有可能积累到足以发生与维持闪电的电荷量;在负样本中,霰粒子层厚度较正样本小得多,对流体没有积累到足够的电荷量,因而最终没有发生闪电。
综合上述分析,霰粒子层厚度突破2 km对福建省的对流体未来是否会发生地闪具有一定的指示意义,可作为地闪初生预报的主要指标,以下通过个例对该结论进行应用分析与预报反演。
3 实例分析2022年6月14日14:00—16:00(北京时,下同),低层切变线自西向东影响漳州—厦门—泉州区域,区域水汽条件好,K指数在35℃以上,有强的对流潜势。14:15左右,切变线触发的对流云团已生成,逐渐向东发展并进入厦门双偏振雷达的探测范围,从14:15开始至16:10对流体移出雷达探测范围,对区域内T1、T2、F1、F2的对流体(图 7)进行逐个雷达时次跟踪,计算每个对流体霰粒子层厚度的变化情况。图 8为福建省南部附近4个对流体14:15—16:06霰粒子层厚度时序分布,其中T1、T2为未来有地闪发生的对流体,F1、F2为未来无地闪发生的对流体,同时读取ADTD闪电定位地闪数据,根据1.1节的数据处理方法进行质量控制,统计对应时刻对流体是否有地闪出现。
|
图 7 2022年6月14日14:45福建省南部4个对流体的CR Fig. 7 Composite reflectivity of four convective storms in southern Fujian Province at 14:45 BT 14 June 2022 |
|
图 8 2022年6月14日14:15—16:06福建省南部4个对流体霰粒子层厚度时序分布 注:图中曲线上发光时段表示有地闪发生。 Fig. 8 Time-sequence of graupel particle layer thickness of four convective storms in southern Fujian Province from 14:15 BT to 16:06 BT 14 June 2022 |
由图 8可知,T1从开始进入到离开雷达探测区域,至少在两个仰角上观测到霰粒子,其霰粒子层厚度在14:39突破2 km,达到2.36 km。14:45开始出现首次地闪,随着时间的推移,霰粒子层厚度呈上升趋势,在15:37达到最大值(5.92 km),随后霰粒子层厚度开始下降,而地闪活动一直持续到对流体移出雷达探测范围。T2在14:28开始在两个仰角处同时观测到霰粒子活动,但霰粒子层厚度在接下来的1 h内均小于2 km,在15:26突破2 km,达到2.39 km,并在15:31开始出现首次地闪,同时霰粒子层厚度达到最大值,而后其开始减小,地闪活动持续到15:49(共24 min)。F1、F2分别于15:08、14:45开始在两个以上仰角同时观测到霰粒子活动,直至其移出雷达探测范围,两者的霰粒子层厚度未突破2 km,最终未发生地闪活动。根据获得的霰粒子层厚度突破2 km的地闪初生指标对4个对流体的地闪初生进行预报,结果显示,4个对流体都给出了准确的有、无地闪发生的定性预报,但T1、T2的初生预报提前时间较少,仅提前6 min。
对每个对流体逐个时刻提取雷达CR、液态水含量、回波顶高最大值,绘制相应的时序曲线(图 9~ 图 11)。由图 9可知,4个对流体的CR没有明显区别,在发展旺盛期其CR都达到55 dBz以上。图 10、图 11显示T1的液态水含量、回波顶高比其他3个对流体大,其中回波顶高平均值达11.63 km,最大值接近15.3 km,回波顶高和霰粒子层厚度相同,都在15:30左右开始大幅跃增,15:40左右达到峰值;T2、F1、F2在液态水含量、回波顶高上差异较弱,回波顶高维持在8 km左右(平均值为8.095 km)。而在霰粒子层厚度的时序分布特征上,T1、T2的数值都比较高,平均值分别为2.75 km、1.87 km,最大值分别为5.92 km、3.5 km,而F1、F2平均值分别为1.54 km、1.34 km,最大值分别为1.98 km、1.81 km。对4个对流体的霰粒子层厚度计算差分值(即相邻时刻的变化值),可得T1、T2、F1、F2中差分值大于0 km的时刻占比,分别为63%、67%、62%、47%,有地闪发生的对流体更多时刻的霰粒子层厚度不断增大,且在首次地闪发生前几个时刻,T1、T2霰粒子层厚度变化率都处于增加的状态。因此,在本次个例中,相比于其他常见的雷达产品,霰粒子层厚度在对地闪活动的表征上更具有显著性。
|
图 9 2022年6月14日14:15—16:06福建省南部4个对流体CR时序分布 Fig. 9 Time-sequence of composite reflectivity of four convective storms in southern Fujian Province from 14:15 BT to 16:06 BT 14 June 2022 |
|
图 10 2022年6月14日14:15—16:06福建省南部4个对流体垂直液态水含量时序分布 Fig. 10 Time-sequence of vertical liquid water content of four convective storms in southern Fujian Province from 14:15 BT to 16:06 BT 14 June 2022 |
|
图 11 2022年6月14日14:15—16:06福建省南部4个对流体回波顶高时序分布 Fig. 11 Time-sequence of echo top height of four convective storms in southern Fujian Province from 14:15 BT to 16:06 BT 14 June 2022 |
T1、T2霰粒子层厚度与地闪次数对比如图 12所示,霰粒子层厚度与地闪次数呈现出一定的相关性;T1大部分时段霰粒子层厚度都大于T2的厚度,T1从14:48开始持续出现地闪活动,而T2只在15:30之后的24 min内有地闪活动,且地闪的次数也比T1少;当霰粒子层厚度达到峰值后转为下降时,地闪过程仍在持续。这可能是由于对流体内积累的电荷量与电场仍足以维持地闪活动,因此出现霰粒子层厚度降低、地闪却持续的现象;随着霰粒子层厚度进一步减少,地闪活动逐渐减弱并最终消失。
|
图 12 2022年6月14日14:16—16:06福建省南部T1、T2对流体霰粒子层厚度、地闪次数时序对比 Fig. 12 Comparison of time-sequence of T1 and T2 convective storms for graupel particle layer thickness and cloud-to-ground lightning frequency in southern Fujian Province from 14:16 BT to 16:06 BT 14 June 2022 |
本研究以2022年4月至2024年6月福建省福州市、厦门市、龙岩市双偏振雷达HCL产品及福建省ADTD闪电定位资料(地闪)为数据源,遴选了32个有地闪发生、22个无地闪发生的对流过程为样本,对出现地闪的对流体在首次出现地闪前60 min、未出现地闪的对流体最大CR≥40 dBz时间段的双偏振雷达HCL霰粒子层厚度时序特征进行了统计与分析。结果表明,霰粒子层厚度相比于雷达CR、垂直液态水含量、回波顶高,在表征对流体是否存在地闪活动更具有显著性的时序特征;霰粒子层厚度突破2 km可以较好地区分福建省内对流体在发展过程中是否会出现地闪活动,54个样本TS评分为0.864,最少预报提前时间12 min,最多预报提前时间48 min,平均预报提前28.13 min。
本研究存在的不足包括:霰粒子层厚度计算受较强主观因素及雷达观测仰角限制,高仰角可能无法捕捉已达一定厚度的霰粒子层,进而导致计算偏差;研究仅聚焦霰粒子层厚度与地闪初生的关联性,未深入探讨其与地闪极性(正、负)的关联;李雅雯(2017)、林辉等(2018)研究表明,雷暴电荷垂直分布是地闪极性的关键决定因素,在典型三极性结构中,负地闪多源于中层负电荷区与地面放电,正地闪与高层或低层次生正电荷区相关,而分层电荷结构中,霰粒子密度、体积、垂直速度等是否通过影响层级电荷分布关联地闪初生极性,仍需后续探索研究。此外,本研究提出的地闪初生预报指标仅能判断对流体内未来是否可能发生地闪,存在预报提前时间不确定的问题。未来拟实现霰粒子层厚度的自动化客观采集,积累更多样本,融合机器学习等非线性分析工具,探索更精细的地闪初生预报指标或模型。
陈渭民, 2006. 雷电学原理[M]. 北京: 气象出版社. Chen W M, 2006. Principles of Lightning[M].
Beijing: China Meteorological Press (in Chinese).
|
崔丹, 肖辉, 王振会, 等, 2009. X波段多参数气象雷达对强风暴云雷电个例的探测研究[J]. 大气科学学报, 32(6): 839-850. Cui D, Xiao H, Wang Z H, et al, 2009. Lightning detection of a strong storm with an X-band multi-parameter meteorological radar[J]. Trans Atmos Sci, 32(6): 839-850 (in Chinese).
|
付晓辉, 2007. 浅析雷达回波强度与闪电初生的关系[C]//第六届中国国际防雷论坛论文摘编. 广州: 中国气象学会: 199-201. Fu X H, 2007. Relationship between the radar echo intensity and the early stage of thunderstorm[C]//Proceedings of the 6th International Lightning Conference in China (ILCC). Guangzhou: Chinese Meteorological Society: 199-201(in Chinese).
|
郭凤霞, 孙京, 2012. 雷暴云起电机制及其数值模拟的回顾与进展[J]. 高原气象, 31(3): 862-874. Guo F X, Sun J, 2012. Review and progress of thunderstorm electrification mechanisms and numerical modelings[J]. Plateau Meteor, 31(3): 862-874 (in Chinese).
|
郭巍, 顾问, 崔林丽, 2022. FY4A对流初生产品在上海地区强对流天气监测预报预警中的应用效果分析[J]. 红外, 43(6): 42-48. Guo W, Gu W, Cui L L, 2022. Analysis of the application effect of FY4A convective initiation product on monitoring and forecast ing strong convective weather in Shanghai[J]. Infrared, 43(6): 42-48 (in Chinese).
|
贺宏兵, 胡明宝, 李超, 等, 2014. 双偏振多普勒天气雷达监测雷电的分析[J]. 解放军理工大学学报(自然科学版), 15(2): 184-190. He H B, Hu M B, Li C, et al, 2014. Analysis of lightning detection with dual-polarization Doppler weather radar[J]. J PLA Univ Sci Technol (Nat Sci Ed), 15(2): 184-190 (in Chinese).
|
何文, 夏文梅, 马中元, 等, 2018. 江西强雷电天气形势场及雷达回波特征分析[J]. 气象科学, 38(5): 699-706. He W, Xia W M, Ma Z Y, et al, 2018. Characteristics of strong lightning situation field and radar echo in Jiangxi[J]. J Meteor Sci, 38(5): 699-706 (in Chinese).
|
李健, 王宇, 刘泽, 等, 2022. 基于雷达反射率因子和雷电定位数据的深度学习雷电预报模型[J]. 气象科技, 50(5): 724-733. Li J, Wang Y, Liu Z, et al, 2022. Research of lightning forecasting based on deep learning model with radar reflectivity factors and lightning location data[J]. Meteor Sci Technol, 50(5): 724-733 (in Chinese).
|
李南, 魏鸣, 姚叶青, 2006. 安徽闪电与雷达资料的相关分析以及机理初探[J]. 热带气象学报, 22(3): 265-272. Li N, Wei M, Yao Y Q, 2006. Analysis and mechanism study on the correlation between lightning and radar data in severe weather[J]. J Trop Meteor, 22(3): 265-272 (in Chinese).
|
李万莉, 刘冬霞, 郄秀书, 等, 2012. 基于RAMS V6.0的非感应起电机制评估和雷暴初期电荷结构模拟[J]. 物理学报, 61(5): 059202. Li W L, Liu D X, Qie X S, et al, 2012. Evaluation of noninductive charging mechanisms and simulation of charge characteristic structure in the early thunderstorm based on RAMS V6.0[J]. Acta Phys Sin, 61(5): 059202 (in Chinese).
|
李晓敏, 周筠珺, 肖辉, 等, 2017. 基于X波段双偏振雷达对雷暴单体中水成物粒子演变特征的研究[J]. 大气科学, 41(6): 1246-1263. Li X M, Zhou Y J, Xiao H, et al, 2017. Research on the evolution characteristics of hydrometeors in a thunderstorm cell with X-band dual-polarimetric radar[J]. Chin J Atmos Sci, 41(6): 1246-1263 (in Chinese).
|
李雅雯, 2017. 雷暴单体的对流强度对电荷结构和闪电放电的影响[D]. 南京: 南京信息工程大学. Li Y W, 2017. The impact of convection intensity on charge structure and lightning discharge in thunderstorm cells[D]. Nanjing: Nanjing University of Information Science & Technology(in Chinese).
|
林辉, 谭涌波, 马宇翔, 等, 2018. 雷暴云内电荷水平分布形式对闪电放电的影响[J]. 应用气象学报, 29(3): 374-384. Lin H, Tan Y B, Ma Y X, et al, 2018. Effects of horizontal charge distribution in thunderstorm clouds on lightning discharge[J]. J Appl Meteor Sci, 29(3): 374-384 (in Chinese).
|
刘维成, 苟尚, 傅朝, 2015. 雷达资料在高原东北侧雷电预警中的应用[J]. 气象, 41(10): 1253-1259. Liu W C, Gou S, Fu Z, 2015. Application of radar data in lightning warning over the northeast of Tibetan Plateau[J]. Meteor Mon, 41(10): 1253-1259 (in Chinese). DOI:10.7519/j.issn.1000-0526.2015.10.008
|
刘晓东, 2011. 地闪回击电磁场沿光滑有耗地表传播的模拟研究[D]. 南京: 南京信息工程大学. Liu X D, 2011. Simulation of lightning electromagnetic fields on the finite conductivity ground[D]. Nanjing: Nanjing University of Information Science & Technology(in Chinese).
|
吕伟涛, 张义军, 孟青, 等, 2009. 雷电临近预警方法和系统研发[J]. 气象, 35(5): 10-17. Lv W T, Zhang Y J, Meng Q, et al, 2009. Development of lightning nowcasting and warning method and system[J]. Meteor Mon, 35(5): 10-17 (in Chinese). DOI:10.7519/j.issn.1000-0526.2009.5.002
|
马颖, 孟青, 吕伟涛, 等, 2009. 雷电临近预警产品评估方法及其软件[J]. 气象, 35(11): 101-106. Ma Y, Meng Q, Lv W T, et al, 2009. Evaluation method and software of lightning nowcasting and warning products[J]. Meteor Mon, 35(11): 101-106 (in Chinese). DOI:10.7519/j.issn.1000-0526.2009.11.013
|
孟青, 张义军, 吕伟涛, 等, 2009. 雷电临近预警系统的运行试验[J]. 气象, 35(4): 20-24. Meng Q, Zhang Y J, Lv W T, et al, 2009. Operational experiment of lightning nowcasting and warning system[J]. Meteor Mon, 35(4): 20-24 (in Chinese). DOI:10.7519/j.issn.1000-0526.2009.4.003
|
蒙伟光, 易燕明, 杨兆礼, 等, 2008. 广州地区雷暴过程云-地闪特征及其环境条件[J]. 应用气象学报, 19(5): 611-619. Meng W G, Yi Y M, Yang Z L, et al, 2008. Thunderstorm cloud-to-ground lightning characteristics in the contiguous Guangzhou City and the influences of local environmental conditions[J]. J Appl Meteor Sci, 19(5): 611-619 (in Chinese).
|
郄秀书, 刘冬霞, 孙竹玲, 2014. 闪电气象学研究进展[J]. 气象学报, 72(5): 1054-1068. Qie X S, Liu D X, Sun Z L, 2014. Recent advances in research of lightning meteorology[J]. Acta Meteor Sin, 72(5): 1054-1068 (in Chinese).
|
石玉恒, 张义军, 郑栋, 等, 2012. 北京地区雷暴的雷达回波特征与闪电活动的相关关系[J]. 气象, 38(1): 66-71. Shi Y H, Zhang Y J, Zheng D, et al, 2012. The relationship between lightning activity and radar echo characteristics of thunderstorm in Beijing Area[J]. Meteor Mon, 38(1): 66-71 (in Chinese). DOI:10.7519/j.issn.1000-0526.2012.01.007
|
王飞, 张义军, 郑栋, 2016. 上升运动核心区与霰粒子非感应起电区关系的模拟研究[J]. 高原气象, 35(3): 834-843. Wang F, Zhang Y J, Zheng D, 2016. Model study of relationship between updraft core and graupel non-inductive charging regions[J]. Plateau Meteor, 35(3): 834-843 (in Chinese).
|
徐迎港, 陈新甫, 杨波, 等, 2021. 江苏地区夏季雷暴的雷达回波特征研究[J]. 气象科学, 41(5): 668-677. |
Xu Y G, Chen X F, Yang B, et al, 2021. Study on radar echo characteristics of summer thunderstorms in Jiangsu[J]. J Meteor Sci, 41(5): 668-677.
|
杨磊, 2019. 双偏振多普勒天气雷达雷暴识别与跟踪方法研究[D]. 长沙: 国防科技大学. Yang L, 2019. Research on thunderstorm identification and tracking method for dual polarization Doppler weather radar[D]. Changsha: National University of Defense Technology(in Chinese).
|
俞小鼎, 郑永光, 2020. 中国当代强对流天气研究与业务进展[J]. 气象学报, 78(3): 391-418. Yu X D, Zheng Y G, 2020. Advances in severe convective weather research and operational service in China[J]. Acta Meteor Sin, 78(3): 391-418 (in Chinese).
|
张鸿波, 郄秀书, 刘明远, 等, 2021. 一次中尺度对流系统层云区域的电场探空观测和电荷结构研究[J]. 高原气象, 40(6): 1531-1541. Zhang H B, Qie X S, Liu M Y, et al, 2021. Study on the charge structure in the stratiform region of a mesoscale convective system based on in-situ electric field observation[J]. Plateau Meteor, 40(6): 1531-1541 (in Chinese).
|
张烨方, 冯建伟, 冯真祯, 等, 2019. 基于闪电距离判定、雷达产品阈值控制的雷电预警算法研究[J]. 气象科技, 47(6): 1026-1031. Zhang Y F, Feng J W, Feng Z Z, et al, 2019. Lightning early warning algorithm based on lightning distance judgment and radar product threshold control[J]. Meteor Sci Technol, 47(6): 1026-1031 (in Chinese).
|
张烨方, 冯真祯, 刘冰, 2021. 基于卷积神经网络的雷电临近预警模型[J]. 气象, 47(3): 373-380. Zhang Y F, Feng Z Z, Liu B, 2021. Lightning nowcasting early warning model based on convolutional neural network[J]. Meteor Mon, 47(3): 373-380 (in Chinese). DOI:10.7519/j.issn.1000-0526.2021.03.010
|
张义军, 周秀骥, 2006. 雷电研究的回顾和进展[J]. 应用气象学报, 17(6): 829-834. Zhang Y J, Zhou X J, 2006. Review and progress of lightning research[J]. J Appl Meteor Sci, 17(6): 829-834 (in Chinese).
|
郑永光, 陈炯, 2022. 大气湿对流的类型和深厚湿对流触发机制综述[J]. 北京大学学报(自然科学版), 58(6): 1141-1152. Zheng Y G, Chen J, 2022. Review of atmospheric moist convection categories and triggering mechanism of deep moist convection[J]. Acta Sci Nat Univ Pekin, 58(6): 1141-1152 (in Chinese).
|
Mecikalski J R, Bedka K M, 2006. Forecasting convective initiation by monitoring the evolution of moving cumulus in daytime GOES imagery[J]. Mon Wea Rev, 134(1): 49-78. DOI:10.1175/MWR3062.1
|
Nikolov N, Bothwell P, Snook J, 2024. Probabilistic forecasting of lightning strikes over the continental USA and Alaska: model development and verification[J]. Fire, 7(4): 111. DOI:10.3390/fire7040111
|
Park H S, Ryzhkov A V, Zrnić D S, et al, 2009. The hydrometeor classification algorithm for the polarimetric WSR-88D: description and application to an MCS[J]. Wea Forecasting, 24(3): 730-748. DOI:10.1175/2008WAF2222205.1
|
Tsenova B D, Barakova D, Mitzeva R, 2017. Numerical study on the effect of charge separation at low cloud temperature and effective water content on thunderstorm electrification[J]. Atmos Res, 184: 1-14.
|
Walker J R, MacKenzie Jr W M, Mecikalski J R, et al, 2012. An enhanced geostationary satellite-based convective initiation algorithm for 0-2-h nowcasting with object tracking[J]. J Appl Meteor Climatol, 51(11): 1931-1949. DOI:10.1175/JAMC-D-11-0246.1
|
Yang J, Zhao K, Song P, et al, 2024. The evolution of microphysical structures and cloud-to-ground lightning in a deep compact thunderstorm over the Nanjing Area[J]. Adv Atmos Sci, 41(12): 2367-2380. DOI:10.1007/s00376-024-3377-6
|
2026, Vol. 52 
