2. 山西省气象台, 太原 030006;
3. 山西省大同市气象局, 大同 037010
2. Shanxi Meteorological Observatory, Taiyuan 030006;
3. Datong Meteorological Office of Shanxi Province, Datong 037010
飑线是一种排列成线状或带状的雷暴群,通常伴随雷暴大风、短时强降水、冰雹和龙卷风等剧烈的灾害性天气。山西北部(简称晋北)地区位于华北平原与内蒙古高原的过渡带,是暖季(5—9月)飑线频发的区域之一。该地区地形复杂,东、西、北皆有山脉,东西之间为狭长的盆地,城市大多分布在盆地。无论飑线是从西向东,还是从西北到东南,或是从北到南进入盆地,都会经历下山的过程。因此深刻认识飑线下山的演变特征和机理,有利于准确判断飑线下山的发展趋势,并有针对性地采取预防措施。
飑线下山演变特征受多方面因素影响,过程较为复杂,国内外学者围绕对流风暴下山发展机理,从不同角度进行了深入研究。Wilson et al(2010)研究发现,一般情况下,对流风暴自身强度越强、组织性越好,下山维持或增强的可能性越大,较小的孤立的对流风暴下山后一般难以维持或增强。黄荣(2012)从大尺度天气背景和局地热动力环境条件的角度,对2008—2011年北京地区对流风暴下山增强的18个个例进行了系统性研究,发现下山增强的对流系统通常发生在有利的天气背景下,而且对流系统移动前方通常有辐合线或闭合辐合区存在。然而实际中对流风暴下山情况复杂,在弱天气尺度背景下,雷暴下山增强的个例也不在少数。陈双等(2011)分析北京地区一次弱天气尺度强迫下雷暴下山增强的个例发现,地形强迫对雷暴下山增强起着主要作用。肖现等(2013;2015)针对北京弱天气背景下的下山增强风暴进行反演分析发现,冷池和低层环境风场相互作用是造成山上对流风暴增强传播下山的关键机制。孙靖和程光光(2017)对弱天气尺度环流影响下先后下山的多个γ中尺度雷暴单体进行分析,发现雷暴自身的强弱是判断其下山后强度能否维持或加强的重要因素之一,强雷暴下山后比弱雷暴更容易维持或增强。纪彬等(2020)对北京地区两条线状对流相继下山发展的边界层条件对比研究发现,第二条对流带在第一条影响后的冷垫上也能发展起来,也就是说飑线发展不一定需要较强的热力条件,而是需要综合考虑热力、动力等多重因素。同时,也有学者对对流风暴下山演变进行气候学统计,Xiao et al(2017;2019)研究得出北京地区暖季弱天气强迫下对流风暴下山增强的概念模型。程文静等(2023;2025)对暖季太行山东麓对流风暴下山演变的气候特征和环境特征进行了统计分析,发现筛选的645个暖季太行山区对流风暴下山过程中有63%是增强的。
上述研究的对流系统下山大多包括不同形态的对流风暴,比如普通对流单体、多单体风暴、线性多单体风暴和超级单体。飑线作为一种具有较强组织结构的线性多单体风暴,国内外学者利用数值模式对其进行机理研究,揭示了飑线发展传播的“RKW理论”(Rotunno et al,1988;Weisman et al,1988;Bryan et al,2006;陈明轩和王迎春,2012;杨吉等,2020)。典型个例分析发现,飑线自身的高度自组织结构建立的正反馈机制是其发展维持的主要原因(王秀明等,2012;张宁等,2017;公衍铎等,2019;雷蕾等,2021;郭云云等,2024)。同时不少学者针对某个区域的飑线进行了时空分布、移动特征、形成机制、组织和消散方式、环流形势等方面的统计分析,以探讨该区域飑线发生与发展的规律(杨珊珊等,2016;吴瑞姣等,2019;盛杰等,2020;方翀等,2023;蒋超等,2024)。
然而目前专门针对飑线下山演变特征和机理研究的文献较少,且不同地区因气候特征、地形等因素的不同,飑线下山的演变特征也会有所不同。晋北地区地形复杂,对于该地区飑线下山的研究较为缺乏,本研究对晋北地区飑线下山演变特征、环境场条件及雷达回波演变进行对比分析,以期为飑线短时临近预报提供参考。
1 数据和方法 1.1 研究区域本文研究区域范围为38.0°~40.8°N、110.5°~114.5°E(图 1方框所示),主要包括大同、朔州和忻州。由图 1可见,该地区地形复杂,东有太行山,西有吕梁山,两大山脉之间为南北狭长的盆地,北有大同盆地,南有忻州盆地。
|
图 1 山西及周边区域海拔高度(填色)和根据移来方向的飑线分区(椭圆) 注:箭头表示飑线移来方向,数字表示相应的类型;方框表示晋北地区。 Fig. 1 The altitude of Shanxi Province and its surrounding areas (colored) and the zoning of squall line sources (ellipse) |
本文使用的数据包括2021—2023年暖季(5—9月)华北区域雷达组合反射率因子拼图产品(空间分辨率为0.01°×0.01°,时间分辨率为6 min)、晋北地区地面观测和单站雷达资料以及ERA5逐小时再分析资料(0.25°×0.25°)。
文中所用时间均为北京时。
1.3 统计方法 1.3.1 飑线筛选飑线是一种有组织化的线状对流系统,其在水平尺度上长度可达几十至几百千米,生命史通常在几小时至十几小时内。国内外对飑线的定义并不十分明确,众多学者对其进行了不同的定义(Chen and Chou, 1993;Geerts,1998;Parker and Johnson, 2000;Meng et al,2013)。本文在飑线形态上基本采用Meng et al(2013)的标准(但持续时长不同),即满足以下条件:(1)一段连续或者准连续的40 dBz以上的回波带长度至少100 km, 持续超过2 h;(2)40 dBz的区域有线状或准线状形态,而且有明显的前缘。在该标准中,准连续是指断裂部分的长度明显小于40 dBz以上部分对流线段的长度。本文仅研究晋北地区的飑线过程,因此在上述标准上制定辅助标准:飑线如果从其他区域移入晋北地区或从晋北地区移入其他区域,则要求该飑线总维持时长达到2 h以上且飑线对晋北地区产生影响(可能飑线到达晋北地区已经减弱,达不到飑线标准)。
筛选飑线过程除了利用雷达回波形态外,同时结合地面雷暴大风数据进行综合判断。雷暴大风数据通过对比国家基本站和加密站的大风和雷暴观测数据得到,通过雷暴观测资料对大风资料进行筛选,筛选方法如下:确认站点的7级或以上大风出现时间,提取该时间所在的2 h、之前2 h、之后2 h的雷暴观测数据, 若该时段内有雷暴出现, 则认为其是雷暴大风,若无雷暴出现, 则认为非雷暴大风而剔除。
根据上述标准和要求对2021—2023年暖季(5—9月)华北雷达组合反射率因子拼图数据和地面观测资料综合判断识别,最终确定29条飑线。
1.3.2 根据飑线移来方向分类将上述筛选的29条飑线根据飑线移来方向分为四种类型:偏西移来型、西北移来型、偏北移来型、盆地新生型。如图 1所示,图中红色数字1表示偏西移来型,该型大致在椭圆1所框定的区域内生成飑线,并且自西向东移向吕梁山脉;2表示西北移来型,该型大致在椭圆2所框定的区域内生成飑线,并且自西北向东南移向吕梁山脉北段或大同西北部阴山山脉;3表示偏北移来型,该型大致在椭圆3所框定的区域生成飑线,并且自北向南移向大同盆地北部山脉;盆地新生型表示在大同盆地或忻州盆地生成的飑线。
1.3.3 根据飑线下山强度变化分类根据飑线强度变化判定标准,如表 1所示,对比飑线上山/下山初始时刻和到达盆地时刻的回波强度和组织结构变化,将上述筛选的29条飑线划分为增强型、维持型和减弱型。
|
|
表 1 飑线强度变化判定标准 Table 1 Criteria for determining the variation of squall line intensity |
图 2为根据飑线移来方向分类的飑线强度变化(减弱型、维持型和增强型)的典型个例。图 2a~2c为2023年7月20日飑线过程,该飑线属于偏西移来减弱型。12:54(图 2a)飑线呈南北走向,从山西以西的鄂尔多斯至延安一带自西向东移向山西西部吕梁山脉,飑线主体大部分回波强度超过50 dBz,飑线中部呈现弓形形态。至14:48(图 2b)飑线移进山西西部河谷地带,即吕梁山脉西侧,飑线整体宽度变大,北段回波强度减弱。飑线继续向东移动,受吕梁山脉阻挡,至17:06(图 2c)飑线北段在吕梁山脉消散,因此判断该飑线为下山减弱型。在此个例中,因受冷涡底部低层切变线的影响,在减弱的飑线西侧又触发一条新生的飑线(图 2c中西侧飑线)。其他偏西移来型飑线与此相似,在东移过程中受到吕梁山脉的阻挡,爬山时逐渐减弱,在山脉处基本消亡。
|
图 2 不同类型飑线下山强度变化典型个例 (a~c)2023年7月20日偏西移来减弱型,(d~f)2021年6月13日西北移来维持型,(g~i)2022年6月17日偏北移来增强型 Fig. 2 Intensity change of different types of squall lines descending mountain (a-c) west-moving weakening type on 20 July 2023, (d-f) northwest-moving maintaining type on 13 June 2021, (g-i) north-moving intensifying type on 17 June 2022 |
图 2d~2f为2021年6月13日飑线过程,该飑线属于西北移来维持型。07:23(图 2d)飑线在内蒙古中部呼和浩特至包头一带生成,自西北向东南方向移动,飑线主体大部回波强度超过50 dBz,整体呈弓形,飑线组织结构为平行层状云结构。至10:22(图 2e)飑线移入山西西北部吕梁山北段管涔山和大同西北部阴山山脉,发展成两条前后相随的飑线,前方飑线中大于50 dBz回波面积减少。至12:03(图 2f)飑线下山到达大同盆地,飑线南段减弱较明显,北段整体强度仍较强,因此从整体上判断属于下山维持型。
图 2g~2i为2022年6月17日飑线过程,该飑线属于偏北移来增强型。15:40(图 2g)飑线在大同天镇北部生成,自北向南移动,飑线长度较短且平直。至17:20(图 2h)飑线发展增强,回波强度变强,长度变长,西段移入大同盆地,东段移入张家口南部。至18:40(图 2i)飑线发展到成熟期,回波强度明显增强,超过60 dBz的回波面积增大,呈明显弓形特征,因此判断该飑线为下山增强型。
2 结果分析 2.1 统计特征根据飑线移来方向分类统计(图 3a),发现西北移来型最多,占比45%,其次是偏西移来型,占比21%,偏北移来型和盆地新生型最少,均占17%。根据飑线下山强度变化分类统计,除了盆地新生型不存在下山情况外,其他类型(24条)中下山减弱型占比最多,为67%,其次是下山增强型,占比为29%,最少是下山维持型,占比4%。根据飑线移来方向类型统计飑线下山强度变化类型(图 3b),发现偏西移来型均是下山减弱型,相反,偏北移来型均是下山增强型,而西北移来型包含三种类型,其中,下山减弱型占比77%,其次是下山增强型和下山维持型。为探究类型最多的西北移来型飑线下山强度变化规律,基于雷达资料对该型飑线移动前方的环境背景进行分析。
|
图 3 2021—2023年5—9月晋北(a)不同类型飑线数量和(b)不同类型飑线下山强度变化统计 Fig. 3 (a) Numbers of different types of squall lines and (b) statistics on intensity changes of different types of squall lines descending mountain in northern Shanxi from May to September in 2021-2023 |
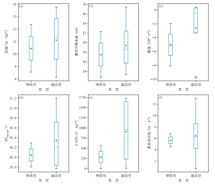
为了进一步认识西北移来型飑线下山强度变化规律,对该型中的下山增强型和减弱型的前方环境背景进行对比分析。一般来说,有利于飑线发展的环境条件有充沛的水汽条件、较大的不稳定能量、较强的动力抬升条件和较大的低层风垂直切变。因此本文选取飑线下山前1 h大同盆地范围内(39.75°~ 40.25°N、113.25°~114.0°E)ERA5的12个网格点的各物理量平均值进行统计分析,选取的物理量包括850 hPa比湿、大气整层可降水量、850 hPa散度、850 hPa和500 hPa温差(ΔT850-500)、对流有效位能(CAPE)和0~3 km垂直风切变。
各物理量统计结果如图 4所示,在水汽条件方面,下山增强型和下山减弱型850 hPa比湿的中位数分别为10.5 g·kg-1和11.2 g·kg-1(图 4a),大气整层可降水量的中位数为27.5 mm和29.5 mm(图 4b),可见两者的水汽条件差别不大,下山增强型比下山减弱型略差。在动力条件方面,下山增强型和下山减弱型850 hPa散度的中位数分别为-5.0×10-5 s-1和-2.5×10-5 s-1(图 4c),表明两种类型的低层大气中均存在明显的风场辐合,下山增强型比减弱型要稍强一些。在不稳定条件方面,ΔT850-500的中位数分别为30.1℃和30.2℃(图 4d),差别不大。在能量条件方面,CAPE的中位数分别为290 J·kg-1和900 J·kg-1(图 4e),可见下山减弱型反而比下山增强型CAPE更强。在垂直风切变方面,0~3 km垂直风切变的中位数分别为5.7 m·s-1和6.5 m·s-1(图 4f),均属于弱垂直风切变。
|
图 4 2021—2023年5—9月晋北飑线下山前1 h大同盆地各物理量平均值的箱线图
注:箱线图的上端、下端分别表示最大值和最小值,箱体内三条线自下而上分别表示第25%、50%和75%分位数值,三角形表示平均值。 (a)850 hPa比湿, (b)大气整层可降水量, (c)850 hPa散度, (d)ΔT850-500, (e)CAPE,(f)0~3 km垂直风切变 Fig. 4 Box plots of the average values of various physical quantities in the Datong Basin 1 h before squall line descending mountain from May to September in 2021-2023 (a) 850 hPa specific humidity, (b) integrated total precipitatble water, (c) 850 hPa divergence, (d) ΔT850-500, (e) CAPE, (f) 0-3 km vertical wind shear |
总体来说,飑线下山增强型相比下山减弱型在动力条件上稍强,而在水汽条件、对流有效位能和垂直风切变条件上相当或略差。
选取两条下山增强的飑线(2023年6月19日和8月6日)和一条下山减弱的飑线(2023年8月7日)进行具体对比分析,结果如图 5所示(红色方框表示飑线经过的区域,黄色箭头所指为飑线移动的大致方向)。
|
图 5 飑线下山前1 h(a~c)500 hPa高度场(等值线,单位:dagpm),(d~f)700 hPa风场(风羽)和对流有效位能(填色和等值线, 单位:J·kg-1),(g~i)850 hPa比湿(填色和等值线, 单位:g·kg-1),(j~l)0~3 km垂直风切变(风矢和填色, 单位:m·s-1) (a, d, g, j)2023年6月19日17:00下山增强型,(b, e, h, k)2023年8月6日19:00下山增强型,(c, f, i, l)2023年8月7日19:00下山减弱型 Fig. 5 (a-c) 500 hPa geopotential height (contour, unit: dagpm), (d-f) 700 hPa wind field (barb) and CAPE (colored and contour, unit: J·kg-1), (g-i) 850 hPa specific humidity (colored and contour, unit: g·kg-1), and (j-l) 0-3 km vertical wind shear (vector and colored, unit: m·s-1) 1 h before squall line descending mountain (a, d, g, j, b, e, h, k) intensifying squall lines upon descent at (a, d, g, j) 17:00 BT 19 June and (b, e, h, k) 19:00 BT 6 August, (c, f, i, l) weakening squall lines upon descent at 19:00 BT 7 August 2023 |
从500 hPa高度场(图 5a~5c)可以看到,2023年6月19日个例中晋北地区受槽后西北气流控制,8月6日个例和8月7日个例均位于副热带高压北部边缘和西风槽槽后。从700 hPa风场(图 5d~5f)可看到,三个个例晋北地区均受西北或偏西气流控制,6月19日风速明显比其他两个个例大。从850 hPa比湿场(图 5g~5i)和CAPE(图 5d~5f)可见,下山增强型两个个例整体上较下山减弱型偏小。从0~3 km垂直风切变(图 5j~5l)可见,下山增强型和减弱型的垂直风切变相当,均较弱。
综上发现,在850 hPa比湿场和CAPE上, 下山增强型较下山减弱型偏小。这一现象可能是由于飑线下山强度变化更多由其自身动力学(如冷池与入流的平衡)驱动,而非静态环境条件。因此根据飑线移动前方的环境条件很难准确判断飑线下山增强还是减弱,结合雷达资料分析或可以更准确理解飑线下山过程中的复杂机理。
2.3 基于雷达资料的飑线组织结构基于雷达资料对2.2节的三个个例进行对比分析。2023年6月19日16:05,1.5°仰角雷达反射率因子(图 6a)显示,在距大同雷达站100 km处有明显的线状回波,前沿反射率因子梯度较大,明显大于其后部梯度,至17:27(图 6b)回波移动前方约60 km处出现明显阵风锋,呈现微小弓形特征,对应0.5°仰角径向速度(图 6d)上存在大范围超过17 m· s-1的大风区域。反射率因子和径向速度剖面(图 6m,6n)显示,风暴高度超过10 km,风暴核强度在55 dBz左右,高度接近3 km,前侧暖湿入流沿着后侧冷池入流倾斜上升,在3~7 km即中层存在深厚的径向辐合,这样的前侧入流沿着后侧入流倾斜上升的组织结构有利于飑线系统的维持(王秀明等,2012)。19:11出现明显的弓形回波(图 6c),此时0.5°仰角径向速度存在超过30 m·s-1的大风(图略)。8月6日下山增强型个例也呈现飑线前沿反射率因子梯度大特征(图 6e),前方出现阵风锋(图 6f),发展到成熟期出现弓形回波(图 6g),低仰角径向速度图上出现超过17 m·s-1的大风区域(图 6h)。相反,8月7日下山减弱型个例呈现飑线后部反射率因子梯度大(图 6i),没有明显阵风锋,下山后飑线回波强度明显减弱且断裂(图 6j,6k),径向速度图上最大风速仅7 m·s-1(图 6l)。反射率因子和径向速度剖面(图 6o,6p)显示,风暴高度在10 km以下,风暴核强度在55 dBz左右,高度接近3 km,未出现前侧入流沿后侧入流倾斜上升的组织结构,其他的下山减弱型个例(图略)大致也呈现同样的雷达回波特征。
|
图 6 大同雷达(a~c,e~g,i~k)1.5°仰角反射率因子和(d,h,l)0.5°仰角径向速度,(m,o)反射率因子和(n,p)径向速度剖面(a~d)2023年6月19日,(e~h)2023年8月6日,(i~l)2023年8月7日,(m,n)沿图6b中红线,(o,p)沿图6j中红线 Fig. 6 Datong Radar (a-c, e-g, i-k) reflectivity factor at 1.5° elevation and (d, h, l) radial velocity at 0.5° elevation, cross-section of (m, o) reflectivity factor and (n, p) radial velocity (a-d) 19 June, (e-h) 6 August, (i-l) 7 August 2023 (m, n) along the red line in Fig. 6b, (o, p) along the red line in Fig. 6j |
可见,根据飑线移动前方的环境条件很难准确判断飑线下山增强还是减弱,但是在短时临近预报中可以根据雷达资料提前判断。下山增强型和下山减弱型飑线从雷达资料上的回波强度、移动速度、反射率因子梯度大值区出现的位置、飑线的形态、阵风锋、飑线组织结构等方面存在明显差异。下山增强注:红色三角形代表大同站, 箭头表示飑线移动方向,方框表示飑线经过区域。型飑线回波强度较强,飑线移速在17 m·s-1左右,反射率因子梯度大值区出现在飑线前部,整体形态呈弓形,伴随阵风锋,径向速度剖面可见明显的前侧入流沿着后侧入流倾斜上升的组织结构。下山减弱型飑线回波强度较弱或中等,飑线移速在10 m·s-1以下,反射率因子梯度大值区出现在飑线后部,整体形态较平直,没有出现阵风锋,径向速度剖面可见中低层存在深厚的辐合区,但未有明显的前侧入流沿着后侧入流倾斜上升的组织结构,维持时间较短。
3 结论和讨论本文对2021—2023年暖季(5—9月)影响晋北地区的飑线进行下山演变特征对比分析,得到以下主要结论:
(1) 共筛选出29条飑线,根据飑线移来方向分为四种类型:偏西移来型、西北移来型、偏北移来型、盆地新生型,其中西北移来型最多,占比45%,其次是偏西移来型,占比21%,偏北移来型和盆地新生型最少,均占比17%。根据飑线下山强度变化分类统计发现,下山减弱型占比最多(67%),其次是下山增强型,占比29%,最少是下山维持型,占比4%。根据飑线移来方向类型统计飑线下山强度变化类型,发现偏西移来型均是下山减弱型,相反,偏北移来型均是下山增强型,而西北移来型包含下山增强型、减弱型和维持型。
(2) 通过上述对西北移来型中的下山增强型和减弱型飑线的山后盆地处的7个物理量进行对比统计分析,发现飑线下山增强型相比下山减弱型在动力条件上(850 hPa散度)稍强,而在水汽条件(850 hPa比湿、大气整层可降水量)、对流有效位能和垂直风切变条件上相当或略差。这可能是因为飑线下山强度变化更多由其自身动力学(如冷池与入流的平衡)驱动,而非静态环境条件。因此根据飑线移动前方的环境条件很难准确判断飑线下山增强还是减弱,在短时临近预报中可利用雷达资料进行判别。
(3) 在短时临近预报中可以根据雷达资料提前判断飑线下山增强还是减弱。下山增强型和下山减弱型飑线从雷达资料上的回波强度、移动速度、反射率因子梯度大值区出现的位置、飑线的形态、阵风锋、飑线组织结构等方面存在明显差异。下山增强型飑线回波强度较强,飑线移速在17 m·s-1左右,反射率因子梯度大值区出现在飑线前部,整体形态呈弓形,伴随有阵风锋,垂直方向上有明显的前侧入流沿后侧入流倾斜上升的组织结构。下山减弱型飑线回波强度较弱或中等,飑线移速在10 m·s-1以下,反射率因子梯度大值区出现在飑线后部,整体形态较平直,没有出现阵风锋,未有明显的前侧入流沿着后侧入流倾斜上升的组织结构。
通过统计晋北地区飑线发现,偏西移来型的飑线均是下山减弱型,偏北移来型的飑线均是下山增强型,这可能与地形密切相关。偏西移来型飑线移经吕梁山脉,该山脉南北延长约400 km,东西宽80~120 km,山脉北段较多山峰海拔高度超过2700 m,飑线移经该山脉,形态断裂、强度明显减弱;而偏北移来型飑线移经山西东北方向的山脉,相对来说该山脉小、短、低,且该型飑线所处的高空引导气流是偏北风,偏北风和低层的偏南暖湿气流形成强的辐合区,因此该型飑线下山会增强。下一步需深入研究地形影响及其他可能因素。此外,本文仅采用三年数据统计,资料时长较短,下一步考虑使用更多年份数据对上述统计规律进行验证,并进一步通过数值模拟试验深入研究飑线下山演变机制。
陈明轩, 王迎春, 2012. 低层垂直风切变和冷池相互作用影响华北地区一次飑线过程发展维持的数值模拟[J]. 气象学报, 70(3): 371-386. Chen M X, Wang Y C, 2012. Numerical simulation study of interactional effects of the low-level vertical wind shear with the cold pool on a squall line evolution in North China[J]. Acta Meteor Sin, 70(3): 371-386 (in Chinese).
|
陈双, 王迎春, 张文龙, 等, 2011. 复杂地形下雷暴增强过程的个例研究[J]. 气象, 37(7): 802-813. Chen S, Wang Y C, Zhang W L, et al, 2011. Intensifying mechanism of the convective storm moving from the mountain to the plain over Beijing Area[J]. Meteor Mon, 37(7): 802-813 (in Chinese). DOI:10.7519/j.issn.1000-0526.2011.7.004
|
程文静, 王秀明, 俞小鼎, 等, 2025. 太行山东麓下山对流风暴的环境特征[J]. 气象学报, 83(4): 1097-1117. Cheng W J, Wang X M, Yu X D, et al, 2025. Atmospheric environmental conditions for the down-slope severe convective storms from the eastern foothills of Taihang Mountains to the North China Plain[J]. Acta Meteor Sin, 83(4): 1097-1117 (in Chinese).
|
程文静, 俞小鼎, 王秀明, 等, 2023. 太行山东麓对流风暴下山演变气候特征[J]. 气象, 49(6): 641-656. Cheng W J, Yu X D, Wang X M, et al, 2023. Climatic characteristics of convective storms moving from Taihang Mountains to North China Plain[J]. Meteor Mon, 49(6): 641-656 (in Chinese). DOI:10.7519/j.issn.1000-0526.2022.121201
|
方翀, 麦子, 关良, 2023. 华北地区强飑线的时空分布与发展移动特征[J]. 气象科技, 51(3): 388-396. Fang C, Mai Z, Guan L, 2023. Spatial and temporal distribution, development and movement characteristics of strong squall lines in North China[J]. Meteor Sci Technol, 51(3): 388-396 (in Chinese).
|
公衍铎, 郑永光, 罗琪, 2019. 冷涡底部一次弓状强飑线的演变和机理[J]. 气象, 45(4): 483-495. Gong Y D, Zheng Y G, Luo Q, 2019. Evolution and development mechanisms of an arc-shaped strong squall line occurring along the south side of a cold vortex[J]. Meteor Mon, 45(4): 483-495 (in Chinese). DOI:10.7519/j.issn.1000-0526.2019.04.004
|
郭云云, 罗辉, 青泉, 等, 2024. 2022年春季四川盆地一次飑线的环境条件与回波特征[J]. 气象, 50(12): 1480-1494. Guo Y Y, Luo H, Qing Q, et al, 2024. Environmental conditions and radar echo characteristics of a squall line in Sichuan Basin in spring 2022[J]. Meteor Mon, 50(12): 1480-1494 (in Chinese).
|
黄荣, 2012. 北京地区雷暴下山增强的特征分析及个例研究[D]. 北京: 中国气象科学研究院. Huang R, 2012. Features of intensi-fying thunderstorms moving down from the mountains and case study in Beijing[D]. Beijing: Chinese Academy of Meteorological Sciences(in Chinese).
|
纪彬, 何静, 张迎新, 等, 2020. 北京地区两条线状对流相继下山发展的边界层条件对比研究[J]. 气象, 46(5): 643-654. Ji B, He J, Zhang Y X, et al, 2020. Study on two successive downhill line convections developing on different boundary layer conditions in Beijing Area[J]. Meteor Mon, 46(5): 643-654 (in Chinese). DOI:10.7519/j.issn.1000-0526.2020.05.005
|
蒋超, 陈传雷, 张凯, 等, 2024. 辽宁地区飑线特征和形成条件[J]. 气象, 50(7): 791-803. Jiang C, Chen C L, Zhang K, et al, 2024. Squall line characteristics and formation conditions in Liaoning Province[J]. Meteor Mon, 50(7): 791-803 (in Chinese). DOI:10.7519/j.issn.1000-0526.2024.033002
|
雷蕾, 孙继松, 陈明轩, 等, 2021. 北京地区一次飑线的组织化过程及热动力结构特征[J]. 大气科学, 45(2): 287-299. Lei L, Sun J S, Chen M X, et al, 2021. Organization process and thermal dynamic structure of a squall line in Beijing[J]. ChinJ Atmos Sci, 45(2): 287-299 (in Chinese).
|
盛杰, 郑永光, 沈新勇, 2020. 华北两类产生极端强天气的线状对流系统分布特征与环境条件[J]. 气象学报, 78(6): 877-898. Sheng J, Zheng Y G, Shen X Y, 2020. Climatology and environmental conditions of two types of quasi-linear convective systems with extremely intense weather in North China[J]. Acta Meteor Sin, 78(6): 877-898 (in Chinese).
|
孙靖, 程光光, 2017. 北京城区热动力条件对雷暴下山后强度的影响[J]. 高原气象, 36(1): 207-218. Sun J, Cheng G G, 2017. Influence of thermal and dynamical conditions over Beijing city area on strength of down-to-hill thunderstorms[J]. Plateau Meteor, 36(1): 207-218 (in Chinese).
|
王秀明, 俞小鼎, 周小刚, 等, 2012. "6.3"区域致灾雷暴大风形成及维持原因分析[J]. 高原气象, 31(2): 504-514. Wang X M, Yu X D, Zhou X G, et al, 2012. Study on the formation and evolution of '6.3' damage wind[J]. Plateau Meteor, 31(2): 504-514 (in Chinese).
|
吴瑞姣, 陶玮, 周昆, 等, 2019. 江淮灾害性大风飑线的特征分析[J]. 气象, 45(2): 155-165. Wu R J, Tao W, Zhou K, et al, 2019. General features of squall lines with disastrous gale in the Yangtze-Huaihe Area[J]. Meteor Mon, 45(2): 155-165 (in Chinese). DOI:10.7519/j.issn.1000-0526.2019.02.002
|
肖现, 陈明轩, 高峰, 等, 2015. 弱天气系统强迫下北京地区对流下山演变的热动力机制[J]. 大气科学, 39(1): 100-124. Xiao X, Chen M X, Gao F, et al, 2015. A thermodynamic mechanism analysis on enhancement or dissipation of convective systems from the mountains under weak synoptic forcing[J]. Chin J Atmos Sci, 39(1): 100-124 (in Chinese).
|
肖现, 王迎春, 陈明轩, 等, 2013. 基于雷达资料四维变分同化技术对北京地区一次下山突发性增强风暴热动力机制的模拟分析[J]. 气象学报, 71(5): 797-816. Xiao X, Wang Y C, Chen M X, et al, 2013. A mechanism analysis of the thermo-dynamical field of a suddenly intensifying storm from mountains in the Beijing Area with the radar data 4DVar[J]. Acta Meteor Sin, 71(5): 797-816 (in Chinese).
|
杨吉, 郑媛媛, 夏文梅, 等, 2020. 东北冷涡影响下江淮地区一次飑线过程的模拟分析[J]. 气象, 46(3): 357-366. Yang J, Zheng Y Y, Xia W M, et al, 2020. Numerical analysis of a squall line case influenced by Northeast cold vortex over Yangtze-Huaihe River Valley[J]. Meteor Mon, 46(3): 357-366 (in Chinese). DOI:10.7519/j.issn.1000-0526.2020.03.007
|
杨珊珊, 谌芸, 李晟祺, 等, 2016. 冷涡背景下飑线过程统计分析[J]. 气象, 42(9): 1079-1089. Yang S S, Chen Y, Li S Q, et al, 2016. Analysis of squall lines under the background of cold vortex[J]. Meteor Mon, 42(9): 1079-1089 (in Chinese).
|
张宁, 苏爱芳, 史一丛, 2017. 2014年一次飑线的发展维持原因分析[J]. 气象, 43(11): 1383-1392. Zhang N, Su A F, Shi Y C, 2017. Causation analysis of evolution of a squall line in 2014[J]. Me-teor Mon, 43(11): 1383-1392 (in Chinese). DOI:10.7519/j.issn.1000-0526.2017.11.007
|
Bryan G H, Knievel J C, Parker M D, 2006. A multimodel assessment of RKW theory's relevance to squall-line characteristics[J]. Mon Wea Rev, 134(10): 2772-2792. DOI:10.1175/MWR3226.1
|
Chen G T J, Chou H C, 1993. General characteristics of squall lines observed in TAMEX[J]. Mon Wea Rev, 121(3): 726-733. DOI:10.1175/1520-0493(1993)121<0726:GCOSLO>2.0.CO;2
|
Geerts B, 1998. Mesoscale convective systems in the southeast United States during 1994-95:a survey[J]. Wea Forecasting, 13(3): 860-869. DOI:10.1175/1520-0434(1998)013<0860:MCSITS>2.0.CO;2
|
Meng Z Y, Yan D C, Zhang Y J, 2013. General features of squall lines in East China[J]. Mon Wea Rev, 141(5): 1629-1647. DOI:10.1175/MWR-D-12-00208.1
|
Parker M D, Johnson R H, 2000. Organizational modes of midlatitude mesoscale convective systems[J]. Mon Wea Rev, 128(10): 3413-3436. DOI:10.1175/1520-0493(2001)129<3413:OMOMMC>2.0.CO;2
|
Rotunno R, Klemp J B, Weisman M L, 1988. A theory for strong, long-lived squall lines[J]. J Atmos Sci, 45(3): 463-485. DOI:10.1175/1520-0469(1988)045<0463:ATFSLL>2.0.CO;2
|
Weisman M L, Klemp J B, Rotunno R, 1988. Structure and evolution of numerically simulated squall lines[J]. J Atmos Sci, 45(14): 1990-2013. DOI:10.1175/1520-0469(1988)045<1990:SAEONS>2.0.CO;2
|
Wilson J W, Feng Y R, Chen M, et al, 2010. Nowcasting challenges during the Beijing Olympics: successes, failures, and implications for future nowcasting systems[J]. Wea Forecasting, 25(6): 1691-1714. DOI:10.1175/2010WAF2222417.1
|
Xiao X, Sun J Z, Chen M X, et al, 2017. The characteristics of weakly forced mountain-to-plain precipitation systems based on radar observations and high-resolution reanalysis[J]. J Geophys Res Atmos, 122(6): 3193-3213. DOI:10.1002/2016JD025914
|
Xiao X, Sun J Z, Chen M X, et al, 2019. Comparison of environmental and mesoscale characteristics of two types of mountain-to-plain precipitation systems in the Beijing Region, China[J]. J Geophys Res Atmos, 124(13): 6856-6872. DOI:10.1029/2018JD029896
|
2026, Vol. 52 
