2. 中国气象局雷达气象重点开放实验室, 北京 100081;
3. 中国气象科学研究院, 北京 100081;
4. 四川省气象灾害防御技术中心, 成都 610072;
5. 四川省气象台, 成都 610072
2. CMA Radar Meteorology Key Laboratory, Beijing 100081;
3. Chinese Academy of Meteorological Sciences, Beijing 100081;
4. Sichuan Meteorological Disaster Prevention Technology Center, Chengdu 610072;
5. Sichuan Meteorological Observatory, Chengdu 610072
珠穆朗玛峰位于青藏高原西南侧,是世界第一高峰。珠穆朗玛峰及其所在的青藏高原具有复杂地形地貌特征,在南亚季风和太阳辐射作用下带来的热力、动力和水汽条件,使得该地区对我国乃至整个东亚地区的天气和气候变化都有着巨大的影响(Boos and Kuang, 2010; Kang et al, 2001; Fujinami and Yasunari, 2001)。为推动珠穆朗玛地区(Mount Oomolangma Region, MOR)气象学的起步发展及其对整个青藏高原地区气候变化的影响,自2019年至今,中国开展了第二次青藏高原综合科学考察的子项目“西风-季风协同作用及其影响”的研究。该项目在MOR首次开展了X波段双偏振天气雷达(简称X波段雷达)观测试验,具有重要的科学意义。随着双偏振天气雷达探测技术的迅速发展,在传统天气雷达的反射率因子(ZH)、径向速度和谱宽三个物理量的基础上,增加了包括差分反射率因子(ZDR)、零滞后相关系数(ρhv)、差分传播相移(ΦDP)、差分传播相移率(KDP)等双偏振物理量,是精细化观测云降水结构特征随时空演变的最有效手段之一(Cifelli et al, 2011;Islam et al, 2013)。Andrić et al(2013)采用双偏振天气雷达的距离高度扫描(range height indicator, RHI)资料,使用微物理模型模拟各物理量垂直廓线,分析了强对流降水天气的双偏振量在垂直方向上的结构分布特征。Oue et al(2016)利用ZDR等双偏振物理量研究分析北极深层混合相云中的霰,揭示了霰是冰晶下落过程中和过冷水的反复碰并增长而形成。Seko et al(1999)基于X波段雷达观测资料研究对流云降水结构及维持机理,为对流云降水过程垂直结构的演变特征提供参考价值。
近年来,在青藏高原地区的云降水综合观测研究也取得了很多成果。常祎和郭学良(2016)、刘黎平等(2015)综合利用Ka波段毫米波云雷达、C波段测雨雷达、雨滴谱仪和激光云高仪在青藏高原那曲地区开展夏季不同云类型的宏观特征及对流云结构的雨滴谱分布日变化特征观测试验研究。王改利等(2021)和李冉等(2024)基于X/K波段天气雷达、微波辐射计和降水现象仪等观测设备获取高时空分辨率的云降水宏微观数据。研究结果表明,青藏高原墨脱地区以中低云为主,对流云降水雨滴谱呈现等效直径较小而数浓度较高的特征。由高原涡和南支槽影响形成的系统性暴雨范围大、持续时间长且雨滴谱较窄,而由地形强迫引起的局地短时强降水雨滴谱较宽。Wang et al(2021a;2021b)利用X波段雷达观测分析了珠穆朗玛地区晴空和降水天气特征,发现该地区触发晴空湍流及云降水天气的动力、热力条件与其他地区显著不同。Krishna et al(2016)指出在海洋、高原等复杂下垫面条件下,雨滴谱分布表现为多极值特征。Wang et al(2022)研究指出青藏高原墨脱地区的雨滴谱宽和大雨滴数量随雨强的增大而增大,对流云降水大部分是小尺度暖雨滴,表现出海洋性的对流降水特征。许健民(2021)利用风云气象卫星资料观测发现:当高原地区的深对流发生时,云体在垂直方向上剧烈地翻滚,且中高层对流云移动方向与其对应高度的环境风场基本一致,并通过对流-辐射平衡理论解释了对流云的这种外观表现是由充沛太阳辐射在地面形成的多余热量散布到大气对流层,并抵消了对流层里长波辐射冷却效应的热量平衡所致。Xu et al(2025)基于气溶胶-云降水综合垂直观测试验,发现外源输入型气溶胶对珠穆朗玛峰峰云降水过程具有显著激活效应。
在上述研究的基础上,开展全球首次MOR夏季对流云降水综合观测试验,旨在认知世界第三极的西风与南亚季风相互作用的大气物理特殊结构和对流云降水区域性特征。本次综合观测试验选取的X波段雷达在探测高原山地地区对流云降水粒子的敏感性程度上具有优势,并能够识别多种相态的降水粒子随时空演变特征(Oue et al, 2015)。此外,本研究还加入了青藏高原与四川盆地交界位置的成都站S波段双偏振天气雷达(简称S波段雷达),并联合使用多源观测资料对比分析研究MOR对流云降水的独特宏微观结构特征,为青藏高原乃至东亚地区的天气和气候变化潜在影响提供新的证据(Li, 2018)。
1 观测试验基本信息本项目于2019年6月在中国科学院珠穆朗玛峰大气与环境综合观测研究站安装建成1部X波段雷达,并开展观测试验至今。该雷达站位于珠穆朗玛峰顶正北偏东3°附近,两者直线距离约40 km。雷达采用长短脉冲相结合的水平/垂直通道电磁波同时双发双收方式,扫描模式以体积扫描为主,伴随部分RHI扫描。同时在该雷达站周边布设了地面雨量计、激光雨滴谱仪、微波辐射计和探空共四种设备进行联合观测。
在MOR X波段雷达站(位于青藏高原西南侧) 与成都S波段雷达站(位于四川盆地西侧与青藏高原东侧的交界处)之间作一直线连接,并沿此连接线做地形垂直剖面(图 1)。由图 1可以看出:MOR雷达站周围平均海拔约4.5 km,而成都雷达站周围平均海拔仅约500 m。两雷达站点之间的直线跨度达到1700 km,且两者之间形成一个陡然下降的高度差。
|
图 1 MOR雷达站(红圈)与成都地区雷达站(绿圈)之间的地形垂直剖面 Fig. 1 Vertical profile of terrain gradient between the two radar stations in MOR (red circle) and Chengdu (green circle) |
激光雨滴谱仪型号为PS32,主要性能参数包括:光源为红外发光二极管,发射功率为3 mW,采样面积达80 cm2。其可测降水粒子的直径范围为0.05~21.50 mm,可测降水粒子下落末速度为0.1~19.5 m·s-1。微波辐射计型号为TQ967,采用三通道(水汽通道,温度通道和红外通道)探测,主要性能参数包括:探测垂直高度为0~10 km,空间垂直分层为58层,主要输出产品为温度、相对/绝对湿度、云中液水含量垂直廓线和云底/云顶高度。MOR和成都地区双偏振天气雷达基本性能参数如表 1所示。
|
|
表 1 MOR和成都地区双偏振天气雷达基本性能参数 Table 1 Basic performance parameters of dual-polarization weather radars in MOR and Chengdu |
微波辐射计、激光雨滴谱仪、地面雨量计等观测设备通常布设在以雷达站点中心、最大半径80 km范围以内。这是因为若距雷达站较远位置,雷达波束展宽会导致观测降水粒子充塞程度降低,观测数据过度平滑,并产生较大的衰减。此外,选取近地面风场较小时刻的观测数据作为试验分析资料,防止出现因较大风速引发雨滴在设备边缘滴落飞溅导致的观测误差。
基于上述原则,两个雷达站及其周边各类观测设备布设方案如图 2所示。MOR(图 2a):微波辐射计位于雷达站西侧约15 km处;激光雨滴谱仪位于雷达站东北侧约30 km处;地面雨量计均位于雷达站半径80 km内,且受高海拔恶劣环境影响,分布相对稀疏。成都地区(图 2b):微波辐射计位于雷达站西侧约23 km处;激光雨滴谱仪均位于雷达站半径50 km内;地面雨量计均位于雷达站半径80 km内,相较于MOR分布更密集。
|
图 2 (a) MOR和(b)成都地区双偏振天气雷达站及其周边各类观测设备布设示意图 注:红色圆点为雷达站,蓝色方块为微波辐射计,红色方块为激光雨滴谱仪,黑色方块为地面雨量计。 Fig. 2 Layout diagram for dual-polarization radar stations and various observation equipments in their surroundings in (a) MOR and (b) Chengdu |
杜小勇等(2025)基于改进的模糊逻辑法,在传统ZH水平与垂直纹理、径向速度标准差、谱宽均值等隶属函数基础上,增加了ZDR标准差σZDR和ρhv等双偏振量的隶属函数,能够更好地去除地物、电磁干扰和鸟类昆虫等非降水回波信号。此外,由双偏振电磁波散射原理(Zhang et al, 2019)可知,KDP会产生噪声抖动。本文采用沿径向方向的滑动中值滤波法对KDP进行数据质量控制:
| $ \begin{gathered} S=\sqrt{\frac{\sum\limits_{i=1}^5\left(\mathit{Φ}_i-\bar{\mathit{Φ}}\right)^2}{5}} \\ \left|\mathit{Φ}_i-\mathit{Φ}_{\mathrm{mid}}\right|>S, \mathit{Φ}_i=\mathit{Φ}_{\mathrm{mid}}, i \in[1, 5] \\ K_{\mathrm{DP}}=\frac{\mathit{Φ}_{i+1}-\mathit{Φ}_i}{2 r^*} \end{gathered} $ | (1) |
式中:Φ实为ΦDP,为简洁起见略写为Φ;S为Φ的五点均方差;Φmid为五点中值;r*为雷达径向距离分辨率。通过判断五点Φ值与中值差值的绝对值是否大于S,完成KDP抖动质量控制。
X波段雷达在观测强降水时,ZH和ZDR会产生较大衰减(李力等,2024)。Chu et al(2019)提出将原始ZDR值统一订正到0°仰角状态下的ZDR值,解决因不同观测仰角造成的ZDR衰减。毕永恒等(2012)指出ZH和ZDR衰减率与KDP呈线性关系,本文使用青藏高原X波段雷达的ZH和ZDR衰减率与KDP的线性关系,对ZH和ZDR进行衰减订正:
| $ \left\{\begin{array}{l} A_{\mathrm{DR}}(r)=0.04916 K_{\mathrm{DP}}(r) \\ Z_{\mathrm{DR}}^*(r)=Z_{\mathrm{DR}}(r)+2 \int_0^r A(r) \mathrm{d} r \end{array}\right. $ | (2) |
式中:r表示目标物距离雷达站的径向距离,0.04916表示ZDR衰减率ADR和KDP之间的系数。ZDR*表示青藏高原X波段雷达的ZDR衰减订正值。ZH的衰减订正与ZDR类似。
由Planck定律和辐射传输模型可知,微波辐射计观测获取的高光谱亮温数据是大气温度、湿度和水汽总量的非线性函数。对微波辐射计实测亮温数据采用神经网络方法(Ware et al, 2003)反演获取温度、湿度、云中液态水含量廓线数据。
2.2 双偏振雷达定量估测降水方法利用地面雨量计和双偏振天气雷达观测数据,采用双参数R(ZH, ZDR)关系(Gorgucci et al, 1994)估测雨强:
| $ R=\alpha Z_{\mathrm{H}}^\beta Z_{\mathrm{Bk}}^\eta $ | (3) |
式中:R为雨强,α、β、η为待定系数。对式(3)两边取对数形变如下:
| $ \lg R=\lg \alpha+\beta \lg Z_{\mathrm{H}}+\eta \lg Z_{\mathrm{DR}} $ | (4) |
用ZdB(单位: dBz)替换ZH,定义如下:
| $ Z_{\mathrm{dB}}=10 \lg Z_{\mathrm{H}} $ | (5) |
联立式(4)、式(5)可得:
| $ \lg R=\lg \alpha+0.1 \beta Z_{\mathrm{dB}}+\eta \lg Z_{\mathrm{DR}} $ | (6) |
对式(6)采用对数线性拟合,反演获取待定系数α、β、η。
2.3 雨滴谱参数反演方法Gamma雨滴谱分布定义如下(Brandes et al, 2004):
| $ N(D)=N_0 D^\mu \mathrm{e}^{-\lambda D} $ | (7) |
式中:N(D)表示雨滴谱的Gamma分布函数,N0为浓度参数(单位: m-3·mm-1),μ为形状因子(无量纲),λ为尺度参数(单位: mm)。使用激光雨滴谱仪的实测数据,可反演获取式(7)中待定系数N0、μ、λ,从而确定Gamma雨滴谱分布。
双偏振天气雷达反演云降水微物理参数定义如下(张静怡等, 2022):
| $ \left\{\begin{array}{l} D=a Z_{\mathrm{DR}}+b \\ W=0.001 Z_{\mathrm{H}}^{C Z_{\mathrm{DR}}^4-d Z_{\mathrm{DR}}^3+e Z_{\mathrm{DR}}^2-f Z_{\mathrm{DR}}}, a, b, c, d, e, f, g>0 \\ N=g \frac{W}{D^4} \end{array}\right. $ | (8) |
式中:待定系数a~g可联合使用激光雨滴谱仪和双偏振雷达观测数据反演获得,雨滴等效直径D,云中液水含量W和雨滴数浓度N可利用双偏振雷达观测数据反演获得。
3 综合观测试验 3.1 对比观测试验与特征统计分别选取2019—2024年MOR和成都地区的6—9月夏季对流云降水天气过程(主要为深对流系统)及其对应的多源观测资料作为样本数据集。观测样本数据集由两部分组成:基于双偏振雷达、地面雨量计和激光雨滴谱仪观测和反演的对流云降水宏微观结构特征资料;基于探空和微波辐射计观测和反演的对流云降水发生前大气温/湿/风特征资料。
基于微波辐射计观测数据,采用神经网络方法(张婷等, 2024)反演获取云底/云顶近似高度。图 3为2019—2024年MOR和成都地区夏季深对流云系统降水总观测次数及其对应云底/云顶高度。MOR深对流系统降水总计观测824次;成都地区深对流系统降水总计观测312次。MOR夏季对流云降水的云底相对地面高度集中在3.2 km附近,云顶相对地面高度约6.5~9.5 km,降水云平均垂直延展厚度约8.0 km。成都地区夏季对流云降水云底相对地面高度集中在1.5 km以下的边界层,云顶相对地面高度>11.5 km,降水云平均垂直延展厚度约14.5 km。
|
图 3 2019—2024年MOR(红色)和成都地区(蓝色)夏季深对流系统降水发生次数及其对应的云底(虚线)、云顶(实线)高度 Fig. 3 Frequency of precipitation events under deep convection systems in summer and their corresponding cloud base (dashed line) and cloud top (solid line) heights in MOR (red) and Chengdu (blue) from 2019 to 2024 |
通过求解雷达在最大探测范围内观测到的边界层对流云降水沿纬向和经向距离跨度的均值获取水平尺度。以雷达在最大探测范围内观测到对流云降水为起始时间,直至降水完全消失在观测范围内为截止时间,获取雷达可观测范围内的降水总持续时间。图 4展示了对应图 3总观测样本次数的对流云降水在成熟阶段的水平尺度和降水总持续时间分布。由图可见:MOR对流云降水水平尺度和持续时间分布很集中,水平尺度范围在18~42 km,降水持续时间<70 min;成都地区对流云降水水平尺度和持续时间分布很广,水平尺度范围在80~220 km,降水持续时间最长>5 h。
|
图 4 2019—2024年MOR(蓝色)和成都地区(绿色)夏季对流云降水在成熟阶段的水平尺度和降水总持续时间分布 Fig. 4 Distribution of horizontal scale and total precipitation duration of convective cloud precipitation in the mature stage in summer in MOR (blue) and Chengdu (green) from 2019 to 2024 |
此外,在上述深对流系统降水观测样本数据集基础上,选取不同时间间隔的ZH观测数据(MOR:2400次,5°仰角;成都地区:1950次,1.5°仰角),以及所对应时刻的探空风场数据开展相关性统计分析(图 5)。由图可见,两个地区对流层高层平均风向与强对流单体移向均呈高度线性正相关(图中红线)。MOR样本数据的平均绝对误差和均方根误差均低于成都地区,相关系数高于成都地区。
|
图 5 2019—2024年(a)MOR和(b)成都地区对流层高层平均风向与强对流单体移向相关性统计 Fig. 5 Statistics of correlation between the average wind direction in upper troposphere and the moving direction of severe convective cells in (a) MOR and (b) Chengdu from 2019 to 2024 |
采用天气雷达观测的双偏振参量结合模糊逻辑法识别获取边界层的降水粒子相态。图 6为与图 3总观测样本次数对应的两地边界层各类降水粒子相态发生频次分布。由图可见:MOR对流云降水在边界层主要表现为干/湿霰和雨滴混合相态,湿霰粒子相态的发生次数最高,超过350次(图 6a红柱条);而成都地区在边界层主要为液态雨滴相态,并且中到大雨滴粒子占绝大多数(图 6b红柱条)。
|
图 6 2019—2024年(a)MOR和(b)成都地区夏季深对流系统在边界层各类降水粒子相态发生频数 Fig. 6 Distribution of the occurrence frequency of various precipitation particle phases in the boundary layer of deep convection system in summer in (a) MOR and (b) Chengdu from 2019 to 2024 |
基于样本观测数据集,结合式(6)反演获取式(6)中的α、β、η系数,进一步获得MOR和成都地区夏季对流云降水的双偏振雷达定量估测雨强关系(图 7)。由图 7可看出:两地的R与ZH、ZDR呈指数级正相关,但MOR对流云降水在成熟阶段的雨强极值(图 7a,约16 mm·h-1)远小于成都地区(图 7b,约50 mm·h-1)。此外,雨滴下落过程中受空气阻力和不均匀风场影响产生翻滚,会出现横纵轴比(b/a)≪1的情况,出现负ZDR值,导致部分区域雷达定量估测降水误差较大。
|
图 7 (a) MOR和(b)成都地区双偏振雷达估测对流云降水的R(ZH, ZDR)关系 注:方框示意定量估测降水误差较大。 Fig. 7 The R(ZH, ZDR) relationships of quantitative convective cloud precipitation estimation by the dual-polarization radars in (a) MOR and (b) Chengdu |
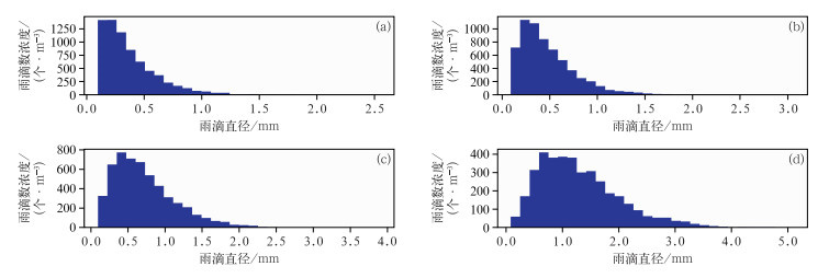
图 8采用激光雨滴谱仪分别在MOR和成都地区观测对流云降水(不同雨强)在地面的雨滴谱数据(全文均为北京时)。由图 8可看出:MOR对流云降水雨滴谱宽较窄(图 8a, 8b),降水粒子等效直径较小,主要集中在0.2~1.0 mm,降水粒子数浓度较高,例如每立方米体积内0.3 mm直径的降水粒子总数>1000个;成都地区对流云降水雨滴谱宽较宽(图 8c, 8d),降水粒子等效直径较大,最大直径约5.1 mm,降水粒子数浓度较低,每立方米体积内最大降水粒子总数<800个。
|
图 8 (a,b)MOR和(c,d)成都地区对流云降水在地面的雨滴谱实况观测 (a)2021年6月27日17:14,雨强:10.7 mm·h-1,(b)2023年7月4日13:37,雨强:19.3 mm·h-1,(c)2022年7月17日20:42,雨强:27.6 mm·h-1,(d)2024年6月23日03:23,雨强:48.9 mm·h-1 Fig. 8 Observed raindrop size distribution of convective cloud precipitation on the surface in (a, b) MOR and (c, d) Chengdu at (a) 17:14 BT 27 June 2021 with rain rate 10.7 mm·h-1, (b) 13:37 BT 4 July 2023 with rain rate 19.3 mm·h-1, (c) 20:42 BT 17 July 2022 with rain rate 27.6 mm·h-1 and (d) 03:23 BT 23 June 2024 with rain rate 48.9 mm·h-1 |
图 9是2022年6月26日20:48—21:12 MOR X波段雷达在5°仰角下观测的由深对流系统引发的一次对流云降水的平面位置扫描图。图中对流单体经历了新生、发展和合并增强三个阶段,总持续时间约25 min,其南北跨度约18 km,东西跨度约21 km。MOR地区对流云降水水平尺度小,持续时间短的这种特征与图 4中统计结果是一致的。
|
图 9 2022年6月26日20:48—21:12 MOR X波段雷达5°仰角观测的对流云降水ZH 注:蓝色圆圈表示对流单体,A、B标识两个对流单体,下同。 Fig. 9 Reflectivity factor of convective cloud precipitation observed at 5° elevation of the X-band radar in MOR from 20:48 BT to 21:12 BT 26 June 2022 |
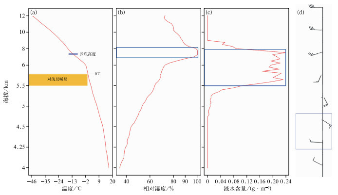
图 10为此次对流云降水发生前(2022年6月26日20:00)MOR的微波辐射计和探空站观测的温度、相对湿度、云中液水含量和水平风的垂直廓线,以及云底高度。由图可见,降水发生前:温度随海拔增加减小,云底高度在海拔约7.5 km,0℃等温线在海拔约5.8 km, 相对地面高度约1.5 km(图 10a),显著低于云底高度;相对湿度的极值区出现在海拔约6.7~8.2 km的对流层中高层(图 10b);在海拔约5.7~7.6 km的对流层中底层,存在多个液水含量极值区(图 10c),均>0.2 g·m-3;在海拔约4.5~5.0 km的近地面有一明显的水平风垂直切变(图 10d),风向由底部的西风陡然转为顶部的东南风,而在海拔8.5 km以上的对流层高层,为一致的强西风气流。图 9中对流云单体移向为自西向东,与图 10d中对流云高层的偏西风一致,这与图 5统计发现的结果一致,说明MOR对流单体移向由对流层高层的环境风场决定。
|
图 10 2022年6月26日20:00 MOR(a~c)微波辐射计和(d)探空站观测数据垂直廓线
注:图b~d中蓝色方框分别示意相对湿度、液水含量极值区和水平风垂直切变区。 (a)温度,(b)相对湿度,(c)液水含量,(d)水平风 Fig. 10 Vertical profiles of (a) temperature, (b) relative humidity, (c) liquid water content and (d) horizontal wind measured by (a-c) microwave radiometer and (d) radiosonde in MOR at 20:00 BT 26 June 2022 |
图 11是2022年6月26日21:12 MOR X波段雷达在162°方位角观测的本次对流云降水成熟阶段的ZH、雨滴谱参数及其降水粒子相态的RHI。由图可见,云顶高度在海拔约10.5 km,>40 dBz的强ZH位于海拔6.5~7.5 km的对流层中层(图 11a)。对应图 11b~11e相同位置可看出:对流层中层的ZH大值区对应较大的雨滴等效直径、较高的云中液水含量和较低的雨滴数浓度,且降水粒子主要表现为液态雨滴和霰混合相态;对流层高层的ZH小值区对应较小的降水粒子等效直径、较低的云中液水含量和较高的粒子数浓度,且降水粒子表现为冰晶、雪花和小雨滴相态。
|
图 11 2022年6月26日21:12 MOR X波段雷达在162°方位角观测的对流云降水成熟阶段的RHI (a)反射率因子,(b)雨滴等效直径,(c)雨滴数浓度,(d)云中液水含量,(e)降水粒子相态 Fig. 11 RHI of the convective cloud precipitation in the mature stage observed by the X-band radar at 162° azimuth in MOR at 21:12 BT 26 June 2022 (a) reflectivity factor, (b) raindrop equivalent diameter, (c) raindrop number concentration, (d) liquid water content in clouds, (e) precipitation particle phase |
图 12是2023年7月13日02:45—04:09成都地区S波段雷达在1.5°仰角下观测的一次强对流降水的ZH演变过程。由图可见,本次对流云降水的尺度范围南北跨度约125 km,东西跨度约175 km,降水过程总持续时间接近90 min,包含强对流单体新生、消亡、分裂与合并增强等所有特征。成都地区强对流降水水平尺度大,持续时间长的这种特征与图 4中统计结果也是一致的。
|
图 12 2023年7月13日02:45—04:09成都地区S波段雷达在1.5°仰角下观测的强对流强降水ZH 注:蓝框和白框表示各种强对流单体,红圈(黑圈)表示极大值区(极小值区),标记A-B表示飑线位置。 Fig. 12 Reflectivity factor of the severe convective precipitation observed at 1.5° elevation of the S-band radar in Chengdu from 02:45 BT to 04:09 BT 13 July 2023 |
图 13是本次强对流降水发生前(2023年7月12日20:00)成都地区微波辐射计和探空站观测的温度、相对湿度、云中液水含量和水平风垂直廓线,以及云底高度。由图可见,降水发生前:云底高度约海拔850 m, 相对地面高度仅350 m(图 13a),接近地面,远低于MOR(图 10a);0℃等温线高度约海拔5.3 km, 相对地面高度约4.8 km,远高于MOR(图 10a)。成都地区的云底高度远低于0℃等温线,这与MOR完全相反。相对湿度(图 13b)和云中液水含量(图 13c)均存在两个极值区,且极大值显著高于MOR。从地面至海拔6 km范围内,风向随高度增加依次为偏北—东北—东南—偏东南—偏南分布(图 13d),在垂直方向上呈顺时针旋转,在海拔6~10 km存在风速20 m·s-1以上的较强西南暖湿气流,整层大气中存在强烈抽吸作用,有利于垂直对流运动发展。图 13d还可以看出,在海拔6 km以上的对流层高层,风向为一致的西南风,与图 12d~12f的飑线移向一致,这与图 5统计发现的结果一致,说明成都地区强对流降水中的飑线移向也由对流层高层的环境风场决定。
|
图 13 2023年7月12日20:00成都地区(a~c)微波辐射计和(d)探空站观测数据垂直廓线
注:图b、c中蓝色方框示意极值区。 (a)温度,(b)相对湿度,(c)液水含量,(d)水平风 Fig. 13 Vertical profiles of (a) temperature, (b) relative humidity, (c) liquid water content and (d) horizontal wind measured by (a-c) microwave radiometer and (d) radiosonde in Chengdu at 20:00 BT 12 July 2023 |
图 14是2023年7月13日04:08成都地区S波段雷达在37°方位角观测的本次强对流降水成熟阶段的ZH、雨滴谱参数及其降水粒子相态RHI。由图可见,云顶海拔>15 km(图 14a),远高于MOR(图 11a),>45 dBz的ZH大值区从地面向上一直延伸至海拔5 km左右的对流层中高层,最大值>55 dBz,远高于MOR(图 11a)。对应图 14b~14f相同位置可看出:强ZH区域对应较大的降水粒子等效直径,较高的云中液水含量和较低的降水粒子数浓度。图 14e表明,成都地区强对流降水在边界层以液态中大雨滴相态为主。
|
图 14 2023年7月13日04:08成都地区S波段雷达在37°方位角观测的强对流降水成熟阶段的RHI (a)反射率因子,(b)雨滴等效直径,(c)雨滴数浓度,(d)云中液水含量,(e)降水粒子相态 Fig. 14 RHI of the severe convective precipitation in the mature stage observed by the S-band radar at 37° azimuth in Chengdu at 04:08 BT 13 July 2023 (a) reflectivity factor, (b) raindrop equivalent diameter, (c) raindrop number concentration, (d) liquid water content in clouds, (e) precipitation particle phase |
MOR和成都地区在对流云降水发生前动力条件不同:MOR由边界层水平风形成的垂直切变提供较弱动力抬升(图 10d),成都地区由风在整层大气垂直方向上的顺时针旋转结构提供强烈的抽吸作用(图 13d)。两地在对流云降水发生前水汽条件差异显著:成都地区水汽条件十分充沛(图 13b, 13c),远远高于MOR(图 10b, 10c)。较弱的动力抬升条件和较差的水汽条件导致MOR夏季深对流系统引发的对流云降水的水平尺度较小,持续时间较短,雨强偏弱(图 4,图 7)。MOR夏季对流云降水的这种动力和水汽条件特征与以下原因有关:夏季南亚季风受珠穆朗玛峰阻挡影响,中低层暖湿气流被迫抬升,仅有极少一部分暖湿气流能够越过珠穆朗玛峰顶,导致MOR水汽条件较差。此外,少量的暖湿气流沿山坡快速下沉,与谷底形成水平风垂直切变,但由于风速较小,动力抬升条件一般。
另外,由大气垂直运动方程和理想气体状态方程可知大气的垂直运动速度变化率正比于气块的温度递减率(Lorenc, 1986)。
设对流层顶温度为Ts,在太阳辐射的作用下,MOR和成都地区的地表温度均达到Tc。对流层顶到MOR和成都地区地面的相对高度分别为H1和H2,显然有H1≪H2。设上述两地的大气垂直运动速度分别为w1和w2,则有:
| $ \left\{\begin{array}{l} \frac{T_{\mathrm{s}}-T_{\mathrm{c}}}{H_1} \approx 8.34 \frac{T_{\mathrm{s}}-T_{\mathrm{c}}}{H_2} \\ \frac{\mathrm{~d} w_1}{\mathrm{~d} t} \approx 8.34 \frac{\mathrm{~d} w_2}{\mathrm{~d} t} \end{array}\right. $ | (9) |
式中可看出,MOR充沛的太阳辐射和极高海拔导致热力垂直对流运动远高于成都等其他地区,符合对流-辐射平衡理论(许健民, 2021)。因此,MOR夏季对流云降水发生频次高,但降水云垂直厚度较小,这与图 3的特征统计结果一致。
4.2 微观特征分析MOR和成都地区对流云降水的粒子相态和雨滴谱分布具有一定的共性特征:ZH与雨滴等效直径、云中液水含量呈正相关,与雨滴数浓度呈反比。同时,也存在以下差异化特征:
(1) MOR对流云降水在边界层出现干/湿霰相态和液态雨滴相态(图 6a),而成都地区以单一液态雨滴相态为主(图 6b)。在相同强度的ZH下,液态雨滴的等效直径和云中液水含量显著高于干/湿霰,但数浓度含量偏低(图 11a~11d,图 14a~14d)。MOR这种独特降水相态特征的形成原因主要在于液态雨滴与霰的电磁波散射机理不同。对流层高层的冰晶、雪花和过冷水在下落中通过凇附效应不停地碰并增长,在经过融化层时,粒子表面开始融化形成外包水膜结构的半固态霰(陈文姝等, 2025),其介电常数高于液态雨滴(Bringi and Chandrasekar, 2001),产生相同的ZH,霰比液态雨滴的等效直径要小,数浓度反而更大。此外,MOR夏季对流云降水的对流层暖层(温度>0℃)平均厚度仅约300 m(图 10a黄色区域),相较于成都地区暖层平均厚度(图 13a黄色区域)非常浅薄,因而导致<0℃的冷层更深厚。因此,高空的冰晶、雪花粒子在经过较薄的暖层云后,来不及完全融化成液态水,以半固态的干/湿霰降落到地面。
(2) 通过激光雨滴谱仪观测的地面对流云降水雨滴谱数据显示:MOR具有较高降水粒子数浓度和较小降水粒子等效直径的特征,对雨强的贡献主要来自于高浓度的小降水粒子;成都等其他地区具有较低雨滴数浓度和较大雨滴等效直径的特征(熊婧媛等, 2024),对雨强的贡献主要来自于低浓度的中大雨滴(图 8)。综合分析图 7和图 8发现,不同雨滴谱导致不同的R(ZH, ZDR)关系,浓度较低的大雨滴对雨强的贡献高于浓度较高的小降水粒子。
5 结论(1) MOR与成都等其他地区的夏季对流云降水存在一些共性特征。样本观测试验统计结果表明,对流云降水单体的大致走向由对流层中高层的环境风场决定,这与许健民(2021)利用风云卫星观测到的深对流系统移向与对流层高层风向基本一致的结论相符。对流云降水的ZH与雨滴等效直径和云中液水含量为正相关,与雨滴数浓度呈反比。
(2) MOR对流云降水相较成都等其他地区发生频次高,持续时间短,降水云厚度浅薄。该地区对流云降水多为水平尺度较小的孤立对流单体,其边界层降水贡献主要来自于高数浓度的小降水粒子,平均雨强低于成都等其他地区。
(3) MOR对流云降水在边界层出现干/湿霰和液态雨滴两种相态。霰与液态雨滴在ZH一致的条件下,前者等效直径和云中液水含量较小,而数浓度较大。MOR对流云降水雨滴谱的谱宽较窄,表现为较高的降水粒子数浓度和较小的降水粒子等效直径特征,这与成都等其他地区完全相反。
(4) MOR高海拔和夏季充沛太阳辐射使得该地区热对流垂直运动强烈。夏季南亚季风受珠穆朗玛峰阻挡影响,仅有少量暖湿气流能够越过珠穆朗玛峰顶并沿山坡下沉至谷底,形成MOR边界层的水平风垂直切变,动力抬升条件和水汽条件偏弱。此外,相比于成都等其他地区,MOR的对流层暖层非常浅薄,而冷层非常深厚。
尽管本次综合观测试验已获得了MOR夏季对流云降水一些新的观测事实和特征分析研究成果,但仍有许多工作需要开展。在后续科学考察试验中,需要布设更多的探测设备加密观测,并加入FY-3G星载雷达探测设备,获得更高分辨率的观测资料,从而进一步深入研究MOR对流云降水形成机制及其随时空演变的云降水微物理过程。
毕永恒, 刘锦丽, 段树, 等, 2012. X波段双线偏振气象雷达反射率的衰减订正[J]. 大气科学, 36(3): 495-506. Bi Y H, Liu J L, Duan S, et al, 2012. Attenuation correction of reflectivity for X-band dual-polarization radar[J]. Chin J Atmos Sci, 36(3): 495-506 (in Chinese).
|
常祎, 郭学良, 2016. 青藏高原那曲地区夏季对流云结构及雨滴谱分布日变化特征[J]. 科学通报, 61(15): 1706-1720. Chang Y, Guo X L, 2016. Characteristics of convective cloud and precipitation during summer time at Naquover Tibetan Plateau[J]. Chin Sci Bull, 61(15): 1706-1720 (in Chinese).
|
陈文姝, 黄兴友, 卜令兵, 等, 2025. 南京地区冰云个例微物理参数的地基毫米波云雷达观测反演分析[J]. 气象学报, 83(1): 115-128. Chen W S, Huang X Y, Bu L B, et al, 2025. Retrieval and analysis of ice-cloud microphysical parameters over Nanjing based on ground-based millimeter-wavelength cloud radar observations[J]. Acta Meteor Sin, 83(1): 115-128 (in Chinese).
|
杜小勇, 卢煜寒, 廖麒翔, 等, 2025. 模糊逻辑法在天气雷达地物杂波识别和回波类型分类应用综述[J]. 气象, 51(2): 129-142. Du X Y, Lu Y H, Liao Q X, et al, 2025. A review of the application of fuzzy logic method in ground clutter recognition and echo type classification of weather radar[J]. Meteor Mon, 51(2): 129-142 (in Chinese). DOI:10.7519/j.issn.1000-0526.2020.11.002
|
李力, 徐芬, 刘希, 等, 2024. 雨滴谱数据在S波段双偏振天气雷达数据质量评估中的应用[J]. 气象, 50(2): 210-220. Li L, Xu F, Liu X, et al, 2024. Application of raindrop disdrometer data in data quality evaluation of S-band dual-polarization weather radar[J]. Meteor Mon, 50(2): 210-220 (in Chinese). DOI:10.7519/j.issn.1000-0526.2023.122801
|
李冉, 王改利, 张永华, 等, 2024. 藏东南墨脱地区降水特征分析[J]. 气象, 50(3): 303-317. Li R, Wang G L, Zhang Y H, et al, 2024. Study on precipitation characteristics in Mêdog, southeastern Tibetan Plateau[J]. Meteor Mon, 50(3): 303-317 (in Chinese). DOI:10.7519/j.issn.1000-0526.2023.111801
|
刘黎平, 郑佳锋, 阮征, 等, 2015. 2014年青藏高原云和降水多种雷达综合观测试验及云特征初步分析结果[J]. 气象学报, 73(4): 635-647. Liu L P, Zheng J F, Ruan Z, et al, 2015. The prelimin-ary analyses of the cloud properties over the Tibetan Plateau from the field experiments in clouds precipitation with the various radars[J]. Acta Meteor Sin, 73(4): 635-647 (in Chinese).
|
王改利, 周任然, 扎西索郎, 等, 2021. 青藏高原墨脱地区云降水综合观测及初步统计特征分析[J]. 气象学报, 79(5): 841-852. Wang G L, Zhou R R, Zhaxi S L, et al, 2021. Comprehensive observations and preliminary statistical analysis of cloudsand precipitation characteristics in Motuoof Tibet Plateau[J]. Acta Meteor Sin, 79(5): 841-852 (in Chinese).
|
熊婧媛, 刘晓莉, 王静, 等, 2024. 河北省一次层状云冰相粒子及融化层微物理特性研究[J]. 气象学报, 82(1): 95-112. Xiong J Y, Liu X L, Wang J, et al, 2024. Aircraft observed microphysical evolution of ice particles and melting layer in the stratiform clouds on 24 August 2019 over Hebei Province, China[J]. Acta Meteor Sin, 82(1): 95-112 (in Chinese).
|
许健民, 2021. 用对流-辐射平衡理论理解对流云的外观表现[J]. 气象, 47(1): 1-10. Xu J M, 2021. Appearance of convective clouds explained by radiative-convective equilibrium[J]. Meteor Mon, 47(1): 1-10 (in Chinese). DOI:10.7519/j.issn.1000-0526.2021.01.001
|
张静怡, 王改利, 郑佳锋, 等, 2022. 青藏高原东南部墨脱地区弱降水微物理特征的Ka波段云雷达观测研究[J]. 大气科学, 46(5): 1239-1252. Zhang J Y, Wang G L, Zheng J F, et al, 2022. Study of the microphysical characteristics of weak precipitation in Mêdog, southeastern Tibetan Plateau using Ka-band cloud radar[J]. Chin J Atmos Sci, 46(5): 1239-1252 (in Chinese).
|
张婷, 胡树贞, 陶法, 等, 2024. 地基云雷达与FY-4A卫星云顶高度联合反演方法[J]. 气象, 50(7): 859-867. Zhang T, Hu S Z, Tao F, et al, 2024. Joint inversion of cloud top height based on ground-based millimeter-wave cloud radar and FY-4A satellite[J]. Meteor Mon, 50(7): 859-867 (in Chinese). DOI:10.7519/j.issn.1000-0526.2024.042601
|
Andrić J, Kumjian M R, Zrnić D S, et al, 2013. Polarimetric signatures above the melting layer in winter storms: an observational and modeling study[J]. J Appl Meteor Climatol, 52(3): 682-700. DOI:10.1175/JAMC-D-12-028.1
|
Boos W R, Kuang Z M, 2010. Dominant control of the South Asian monsoon by orographic insulation versus plateau heating[J]. Nature, 463(7278): 218-222. DOI:10.1038/nature08707
|
Brandes E A, Zhang G F, Vivekanandan J, 2004. Comparison of polarimetric radar drop size distribution retrieval algorithms[J]. J Atmos Ocean Technol, 21(4): 584-598. DOI:10.1175/1520-0426(2004)021<0584:COPRDS>2.0.CO;2
|
Bringi V N, Chandrasekar V, 2001. Polarimetric Doppler Weather Radar: principles and Applications[M].
Cambridge: Cambridge University Press.
|
Chu Z G, Liu W, Zhang G F, et al, 2019. Continuous monitoring of differential reflectivity bias for C-band polarimetric radar using online solar echoes in volume scans[J]. Remote Sens, 11(22): 2714. DOI:10.3390/rs11222714
|
Cifelli R, Chandrasekar V, Lim S, et al, 2011. A new dual-polarization radar rainfall algorithm: application in Colorado precipitation events[J]. J Atmos Ocean Technol, 28(3): 352-364. DOI:10.1175/2010JTECHA1488.1
|
Fujinami H, Yasunari T, 2001. The seasonal and intraseasonal variability of diurnal cloud activity over the Tibetan Plateau[J]. J Meteor Soc Japan, 79(6): 1207-1227. DOI:10.2151/jmsj.79.1207
|
Gorgucci E, Scarchilli G, Chandrasekar V, et al, 1994. A robust estimator of rainfall rate using differential reflectivity[J]. J Atmos Ocean Technol, 11(2): 586-592. DOI:10.1175/1520-0426(1994)011<0586:AREORR>2.0.CO;2
|
Islam T, Rico-Ramirez M A, Han D W, et al, 2013. Fuzzy logic based melting layer recognition from 3 GHz dual polarization radar: appraisal with NWP model and radio sounding observations[J]. Theoret Appl Climatol, 112(1): 317-338.
|
Kang S C, Xu Y W, You Q L, et al, 2001. Review of climate and cryospheric change in the Tibetan Plateau[J]. Environ Res Lett, 5(1): 015101.
|
Krishna U V M, Reddy K K, Seela B K, et al, 2016. Raindrop size distribution of easterly and westerly monsoon precipitation observed over Palau islands in the western Pacific Ocean[J]. Atmos Res, 174-175: 41-51. DOI:10.1016/j.atmosres.2016.01.013
|
Li J, 2018. Hourly station-based precipitation characteristics over the Tibetan Plateau[J]. Int J Climatol, 38(3): 1560-1570. DOI:10.1002/joc.5281
|
Lorenc A C, 1986. Analysis methods for numerical weather prediction[J]. Quart J Roy Meteor Soc, 112(474): 1177-1194. DOI:10.1002/qj.49711247414
|
Oue M, Galletti M, Verlinde J, et al, 2016. Use of X-band differential reflectivity measurements to study shallow arctic mixed-phase clouds[J]. J Appl Meteor Climatol, 55(2): 403-424. DOI:10.1175/JAMC-D-15-0168.1
|
Oue M, Kumjian M R, Lu Y H, et al, 2015. X-band polarimetric and Ka-band Doppler spectral radar observations of a graupel-producing arctic mixed-phase cloud[J]. J Appl Meteor Climatol, 54(6): 1335-1351. DOI:10.1175/JAMC-D-14-0315.1
|
Seko H, Kato T, Saito K, et al, 1999. Analytical and numerical studies of a quasi-stationary precipitation band observed over the Kanto area associated with Typhoon 9426(Orchid)[J]. J Meteor Soc Japan Ser.Ⅱ, 77(4): 929-948. DOI:10.2151/jmsj1965.77.4_929
|
Wang G L, Li R, Sun J S, et al, 2022. Comparative analysis of the characteristics of rainy season raindrop size distributions in two typical regions of the Tibetan Plateau[J]. Adv Atmos Sci, 39(7): 1062-1078. DOI:10.1007/s00376-021-1135-6
|
Wang L, Li Y Q, Xu X D, et al, 2021a. Characteristic analysis of dual-polarization weather radar echoes of clear air and precipitation in the Mount Everest Region[J]. J Appl Remote Sens, 15(4): 048502.
|
Wang L, Li Y Q, Xu X D, et al, 2021b. Characteristic analysis of dual-polarization weather radar echoes of convective precipitation and snowfall in the Mount Everest Region[J]. Atmosphere, 12(12): 1671. DOI:10.3390/atmos12121671
|
Ware R, Carpenter R, Güldner J, et al, 2003. A multichannel radiometric profiler of temperature, humidity, and cloud liquid[J]. Radio Sci, 38(4): 44-1-44-13.
|
Xu X D, Cai W Y, Zhao T L, et al, 2025. Understanding clouds and precipitation over the Mount Qomolangma: how does the aerosol activation effect exist?[J]. Scien Bull, 70(21): 3649-3658.
|
Zhang G F, Mahale V K, Putnam B J, et al, 2019. Current status and future challenges of weather radar polarimetry: bridging the gap between radar meteorology/hydrology/engineering and numerical weather prediction[J]. Adv Atmos Sci, 36(6): 571-588. DOI:10.1007/s00376-019-8172-4
|
2026, Vol. 52 
