2. 浙江省绍兴市气象防灾减灾中心, 绍兴 312000;
3. 浙江省气象台, 杭州 310000
2. Shaoxing Meteorological Service Center of Zhejiang Province, Shaoxing 312000;
3. Zhejiang Meteorological Observatory, Hangzhou 310000
在全球变暖的背景下,极端降水事件的强度和频次均呈现出增加的趋势(IPCC, 2013),极端降水事件对社会、经济乃至人民的生命安全等诸多方面造成了严重的影响和巨大的损失(Li and Wang, 2018; Cheng et al, 2018)。如2012年北京“7·21”极端暴雨(谌芸等,2012)、2021年河南“7·20”极端暴雨(杨浩等,2022;布和朝鲁等,2022),均造成巨大人员伤亡和上百亿经济损失。
极端降水事件常由某些特殊结构的中尺度对流系统(MCS)产生(Parker and Johnson, 2000),美国学者基于卫星和天气雷达观测提出的降水回波的后向传播(Chappell, 1986; Corfidi, 2003)、单体的列车效应(Doswell Ⅲ et al, 1996)等有助于极端降水事件分析概念的引入。近年来,随着我国多普勒天气雷达业务布网,可以对极端降水MCS的产生过程提供更高时空分辨率的观测,基于此国内学者对于极端降水成因的分析有了一些进展(柯文华等,2012;张家国等,2013;冯晋勤等,2014;董良鹏和张萍萍, 2022;石娟等,2023)。俞小鼎(2012)、陈明轩等(2013)、刘璐等(2015)分别对2012年北京“7·21”特大暴雨的触发与传播机制进行了研究,认为低层动力场和地形强迫对MCS的触发、增强和维持起到关键作用。俞小鼎(2013)利用雷达和探空资料分析指出,绝大多数极端短时强降水是由深厚湿对流产生;王丛梅和俞小鼎(2015)利用NCEP再分析资料和雷达资料对2013年7月1日河北极端短时强降水成因进行了分析,指出这次极端短时强降水的对流系统属于不常见的高质心大陆强对流型。
双偏振雷达可以获取差分反射率因子(ZDR)、差分传播相移率(KDP)、相关系数(CC)等偏振参量。这些参数演变与降水粒子的形状、相态、空间取向等关系密切(刘黎平等,1996a;1996b;楚荣忠等,1997;张鸿发等,2001;Potvin et al,2009;寇蕾蕾等,2018;冯亮等,2018;王洪等,2018;刁秀广等,2020;刁秀广和郭飞燕,2021;申高航等,2021)。但常规S波段和C波段双偏振雷达存在扫描周期过长,垂直方向分辨率不高等问题,使其难以获取对流风暴内部的精细结构和云微物理特征,对中小尺度灾害性天气的探测性不足(刘黎平等,2016)。X波段相控阵雷达具有扫描速度快、分辨率高和覆盖率高的特点,能够精确地探测空间三维风场、强度场、双偏振量等信息,从而获取对流云团完整的热力和动力特征(刘黎平等,2016;吴翀等,2014;马舒庆等,2019)。全球主要发达国家较早开展了相控阵天气雷达的观测与应用研究(Zrnic et al,2007;Bluestein et al,2010;Heinselman et al,2008), 近年来国内不少地区已开始建设X波段相控阵雷达(吴翀等,2014;于明慧等,2019;张哲等,2023;张蔚然等,2023)。质量控制后的X波段相控阵雷达可用于分析强风暴强度和三维风场,能够探测到对流风暴垂直结构,提升中小尺度天气系统精细监测预警能力(Zhang et al,2021;张曦等,2022;苏永彦和刘黎平,2022)。
一些学者基于X波段相控阵产品开展了极端降水个例研究(潘佳文等,2022;肖靖宇等,2022;张妤晴等,2023;曾琳等,2023),发现后向传播型风暴有利于造成极端降水,低仰角KDP大值区与强降水位置对应更好。但目前缺少对极端降水的X波段相控阵雷达参量统计特征研究。本文利用X波段相控阵雷达基本产品,分析极端降水事件的分钟级统计特征,并基于典型极端降水样本,借助三维反演风场、风暴追踪等产品,研究极端降水强风暴的三维精细结构特征,为极端降水的短时临近预报预警提供依据。
1 资料与方法 1.1 资料本文所用资料包括: (1)浙江自动气象站和国家站逐时观测资料;(2)采用浙江中北部杭州良渚、临浦、河庄,绍兴柯桥、凤凰山、湖塘岗、贤祥寺7部X波段相控阵雷达,其数据资料较稳定且运行时间超过两年,目前X波段相控阵雷达组网无ZDR和KDP等双偏振参量,分析双偏振参量采用单雷达产品,三维反演风场基于X波段相控阵雷达组网。浙江地理信息和雷达站点位置示于图 1。
|
图 1 浙江地理信息和X波段相控阵雷达站分布 Fig. 1 Geographic information and distribution of X-band phased-array radar stations in Zhejiang Province |
本文所用X波段相控阵雷达技术体制为全固态、全相参多普勒、方位机扫、俯仰相扫、双线偏振、数字波束形成,雷达的具体性能参数列于表 1。由于X波段相控阵雷达波长短、发射功率低,强降水时信号衰减严重,本文使用的X波段相控阵雷达资料均已经过衰减订正(伍魏等,2017)。
|
|
表 1 X波段相控阵雷达主要技术指标 Table 1 Main technical parameters of X-band phased-array radar |
参照杭州SA雷达数据,对X波段相控阵雷达数据进行衰减订正评估:(1)将X波段相控阵雷达数据进行距离库平均,使其与S波段雷达径向分辨率基本一致;(2)对两部雷达探测数据进行位置匹配,实现不同位置雷达观测数据的一一对应和定量对比分析。表 2为7部X波段相控阵雷达的平均评估值,可以发现衰减订正后其可获得较可靠的雷达数据。
|
|
表 2 X波段相控阵雷达衰减订正评估 Table 2 Attenuation correction evaluation of X-band phased-array radar |
使用组网VVP算法计算背景风场,对有效反演区域进行变分法迭代求解,最终获得雷达探测区域内的u、v、w三维风场,该算法相比于传统风场反演计算策略,提升了其在雷达较少(单雷达)区域以及病态(CBA夹角)区域风场的重建能力(Potvin et al, 2009;2012)。反演风场数据时间分辨率为2 min,空间分辨率为200 m×200 m×200 m。
为定量评估风场的可靠性,选择2022—2023年7次过程的反演风场进行检验,包括3次对流性和4次稳定性过程,以探空的观测数据为真值,考虑到气球的水平漂移现象,先使用多个相邻时刻的雷达风场在对应探空探测区域进行时间上的线性插值,再对关注区域进行空间上的点对点匹配计算,最后进行数据的定量评估。检验结果为:u、v、w的均方根误差分别为1.92、1.48、1.65 m·s-1,风场误差均在2 m·s-1以下,具备一定可靠性。
1.4 极端短时强降水定义根据俞小鼎(2013)的定义,将出现1个或几个站点1 h雨量≥50 mm或3 h雨量≥100 mm的强降水过程称为极端短时强降水事件,达到1 h雨量≥50 mm或3 h雨量≥100 mm的站点称为极端短时强降水站点。筛选出2023—2024年夏季X波段相控阵雷达有效探测范围内的9次极端强降水事件(非台风暴雨),分别为20230620、20230716、20230720、20230721、20230722、20230817、20230826、20240712、20240714,包含36个极端短时强降水站点。
1.5 双偏振参量分析方法在9次过程中20230722、20240712和20240714出现极端短时强降水的站次数较多,本文第2节主要针对这3次典型过程对极端降水强风暴结构分析,第3节统计双偏振参量定量特征需要足够多的样本,使用全部9次事件36个站点。提取站点出现强降水的所有分钟时次的双偏振参量,36个站点分钟强降水样本共有498个,按照1.0~1.5、1.5~2.0、2.0~2.5、>2.5 mm·min-1四个分钟降水强度对降水样本进行再分类,分别为242、135、76和45个样本。站点上空各高度上的双偏振参量计算方法为:提取该点上空各仰角上的高度值,该高度上的双偏振参量为对应仰角上该点及左右各1°径向共3个径向,每个径向上4个距离库共12个距离库的平均值(中心值可能存在数据异常,通过周边多个邻近点的平均值来代替单一中心值可以消除异常)。0~6 km内以1 km为间隔的各高度层内可能包含多个仰角,取多仰角平均来代表该高度层内的双偏振参量。站点位于几个雷达共同有效探测范围内时,与S波段雷达进行比较,选择衰减订正效果最好且风暴还原度高的雷达。雷达站周围近处低仰角杂波干扰区域、遮挡区域和明显的波束非均匀填充区域不进行偏振量统计。
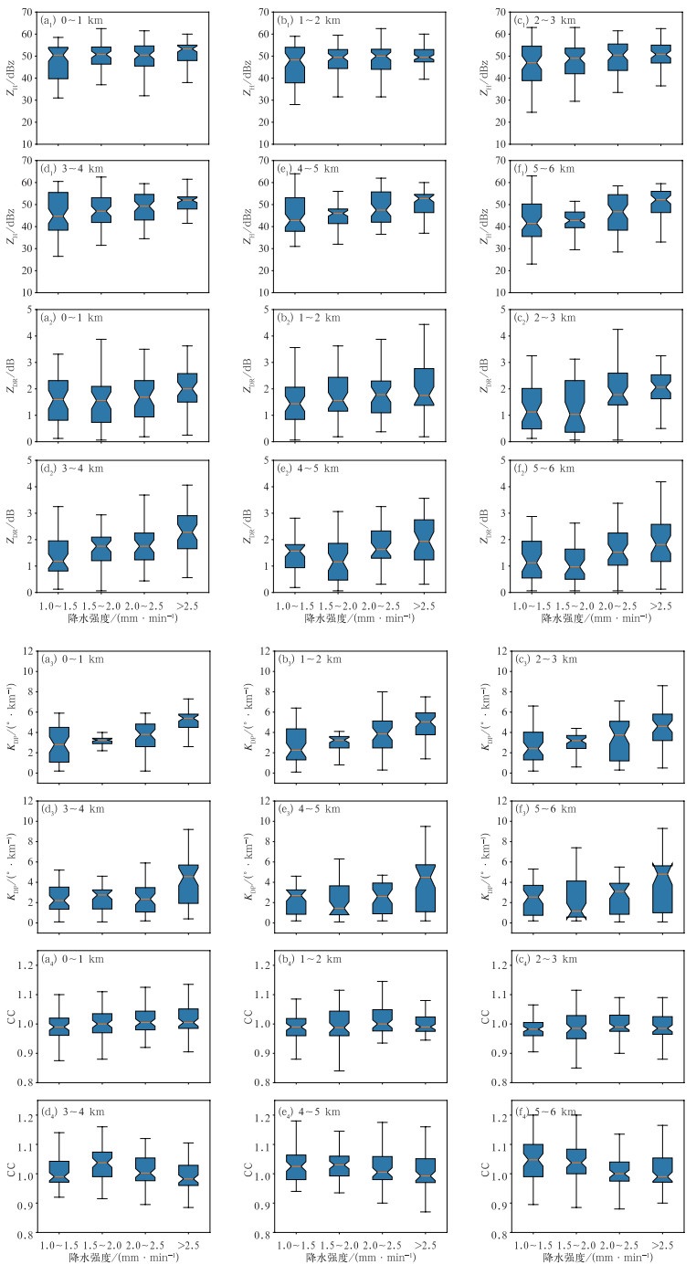
2 极端降水双偏振统计特征学者们已对强降水S波段双偏振雷达参数完成了一些统计工作,荀爱萍等(2019)发现当降水类型为暴雨时,ZH、ZDR、KDP分别为49 dBz、1.7 dB和1.3 °·km-1;李芳和刁秀广(2023)认为随着降水强度增大,ZH和KDP都随之增大。X波段相控阵雷达可以提供高时空分辨率的资料,对站点进行精准定位并统计各高度层上的逐分钟双偏振参量特征。
对极端短时强降水站点按分钟降水强度做双偏振参量统计分析,不同探测高度的ZH箱线图如图 2a1~2f1所示(最小值和最大值受样本数量和个别样本影响,规律较乱,文中只分析第25%分位值、中位数、平均值和第75%分位值,下同)。随着降水强度增大,各高度上的中位数和平均值均增大,且>2.5 mm·min-1的超强降水所有统计值均是最大的,所有高度上均满足第25%分位值≥46 dBz,中位数和平均值均≥49 dBz,第75%分位值≥53.5 dBz,较1.0~1.5 mm·min-1及2.0~2.5 mm·min-1分别增长了1.8%~24.0%、0.1%~21.0%,当出现高强度降水时,ZH在高值区波动。4 km以上ZH较4 km以下减小,强回波主要在暖云层之下。虽然ZH随着高度降低没有单一的增大趋势,但0~1 km ZH最大,第25%分位值≥45 dBz,中位数和平均值均≥47.2 dBz,第75%分位值≥54.6 dBz,表明近地面ZH需足够大,才能出现极端降水。
|
图 2 不同高度、不同分钟降水强度X波段相控阵雷达(a1~f1)ZH,(a2~f2)ZDR,(a3~f3)KDP,(a4~f4)CC箱线图 注:箱线图触须的上端和下端分别代表统计最大值和最小值,箱体内三条绕线自下而上分别代表第25%分位值、中位数和第75%分位值,下同。 Fig. 2 Box plots of (a1-f1) ZH, (a2-f2) ZDR, (a3-f3) KDP, (a4-f4) CC from X-band phased-array radar for different minutely precipitation intensities at different altitudes |
分析各高度的ZDR(图 2a2~2f2),4 km以下中位数和平均值随着分钟降水强度增大而增大,分钟降水强度>2.5 mm·min-1时统计值最大,所有高度上第25%分位值≥1.2 dB,中位数和平均值≥1.8 dB,第75%分位值≥2.4 dB,较1.0~1.5 mm· min-1、2.0~2.5 mm·min-1分别增长13%~220%、4%~67%,出现超强降水时雨滴尺度较大。4 km以上ZDR也较4 km以下减小,表明极端降水发生时大雨滴主要集中在中低层。
从KDP的各高度分布来看(图 2a3~2f3),4 km以下中位数和平均值随分钟降水强度逐渐增大,>2.5 mm·min-1的统计值最大,所有高度上第25%分位值≥1 °·km-1,中位数和平均值均≥4 °·km-1,第75%分位值≥5.1 °·km-1,较1.0~1.5 mm·min-1、2.0~2.5 mm·min-1分别增长30%~246%、15%~167%,是所有参量中增幅最大的,说明分钟降水强度主要取决于粒子浓度。0~ 1 km KDP为所有高度层最大,第25%分位值≥1.3 ° ·km-1,中位数和平均值均≥3 °·km-1,第75%分位值≥3.4 °·km-1,4 km以上KDP有减小趋势,因此高浓度雨滴主要聚集在低层到近地面。
CC的分布只在1 km以下随着分钟降水强度增大而逐渐增大(图 2a4~2f4),其他高度上CC并没有此规律,在3~6 km反而减小。0~1 km所有降水强度等级CC中位数和平均值均≥0.99。
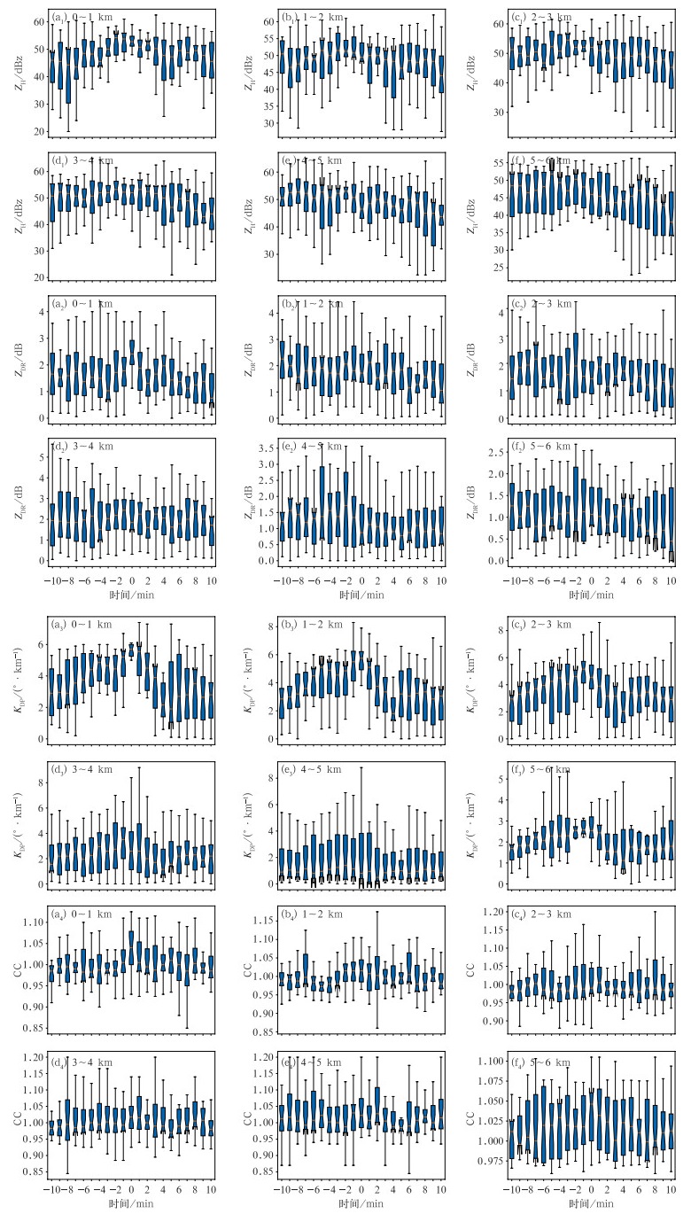
图 3a1~3f1为站点分钟降水极值发生前后10 min内(即降水增强和减弱过程中)ZH各统计值的变化,可以看到,4 km以下整体呈现先增大后减小的趋势,这种趋势在0~1 km最为清晰,ZH第25%分位峰值出现在分钟降水极值时刻,中位数和第75%分位峰值超前1 min,分钟降水极值前8 min,ZH出现显著增长,各统计值增幅为14%~83%,增速为1.0~3.6 dBz·min-1;分钟降水极值后4 min内,ZH减小,降幅达9%~23%,减速为1.2~3.0 dBz·min-1。统计值在1~4 km提前1~3 min到达峰值。
|
图 3 分钟降水极值出现前后10 min内不同高度X波段相控阵雷达(a1~f1)ZH,(a2~f2)ZDR,(a3~f3)KDP,(a4~f4)CC箱线图 Fig. 3 Box plots of (a1-f1) ZH, (a2-f2) ZDR, (a3-f3) KDP, (a4-f4) CC from X-band phased-array radar at different altitudes within 10 min of the occurrence of minutely precipitation extreme value |
ZDR在0~1 km极端降水时刻达到最大(图 3a2~ 3f2),分钟降水极值时刻前3 min内,统计值开始显著增大,增幅为53%~150%,增速为0.3~0.4 dB·min-1;极值时刻后2 min内,统计值迅速减小41%~50%,减速为0.5~0.6 dB·min-1,表明降水极值发生时,近地面雨滴尺度先迅速增长后迅速减小。1 km以上统计特征值的变化失去规律。
KDP在降水增强和减弱时的振荡变化较ZH和ZDR更清晰(图 3a3~3f3),4 km以下均有先增大后减小的明显变化趋势,在2 km以下,统计特征值均在分钟降水极值时刻为最大。在极值时刻前10 min内,KDP呈增长趋势,各统计值增幅为133%~205%,增速为0.33~0.37 °·km-1·min-1;极值时刻后4 min内,统计值逐渐减小,减幅为49%~55%,减速为0.63~0.93 °·km-1·min-1,2~4 km统计值峰值超前降水极值时刻1 min;极值时刻前5~6 min内,统计值逐渐增大,增幅为25%~160%,增速为0.2~0.8 °·km-1·min-1;极值时刻后3 min内,统计值逐渐减小,减幅为30%~63%,减速为0.55~0.74 °·km-1·min-1。因此分钟降水极值出现前后,KDP波动幅度最大,雨滴浓度先持续增长再迅速减弱。
CC在0~1 km有先增大后减小的振荡规律(图 3a4~3f4),统计特征值在分钟降水极值时刻最大,极值时刻前3~4 min内,统计值逐渐增大,增幅4%~7%;极值时刻后3 min内,统计值减小,减幅4%~5%。1 km以上无明显规律。
3 典型极端降水风暴结构 3.1 风暴水平结构分析20230722、20240712和20240714这三次过程(简称“230722”“240712”和“240714”)的降水极值站点附近最大分钟降水时刻前2 min(2023年7月22日16:16(北京时,下同),2024年7月12日13:50和14日15:18)2 km高度上的X波段相控阵雷达双偏振参数ZH、ZDR、KDP、CC和三维反演风场(图 4)可知,三次过程降水极值点的强风暴ZH中心均≥55 dBz。已有研究表明,强降水风暴内部具有辐合特征(罗云等,2021;张妤晴等,2023;唐明晖等,2024),但典型极端降水风暴的辐合厚度和强度尚未完全明确。反演风场显示三次过程降水极值点附近及风暴尾部均存在偏西风和西南风的辐合,且从多高度平面图来看(图略),“230722”的辐合在4 km以下均存在,中心最大辐合强度为6.7×10-4 s-1,“240712”的辐合从近地面一直到5 km附近,中心最大辐合强度为1.2×10-3 s-1,且近地面有气旋式流入,“240714”的辐合也延伸至5 km,中心最大辐合强度为9.6×10-4 s-1。深厚辐合有利于上升气流发展,维持风暴强度,从几个时次动态变化可知(图略):强风暴为横向尺度超过20 km的中尺度对流系统,西侧不断有单体生成,表现为后向传播型,单体传播方向与主体风暴系统移动方向相反,导致风暴呈准静止状态。单体新生频率为每4~6 min一个,“240712”和“240714”持续生成3~4个单体,“230722”持续生成6个单体。根据对流风暴定义(一定范围内35 dBz以上的连续回波)(Weckwerth et al, 2011;Reif and Bluestein, 2017),分析整个风暴生消演变可知:“230722”“240712”和“240714”风暴生命史分别为95、65和68 min,且“230722”后期还有北侧风暴南移经过极值站点上空,造成长达2.5 h的持续强降水。从ZDR和KDP的分布来看,降水极值点及上游新生单体处有较强的ZDR和KDP中心,分别在2.5 dB、4.5 °·km-1左右,向东移动经过降水极值点,造成该点多个降水峰值。降水极值点及附近CC≥0.96,以液态降水为主。
|
图 4 (a1~d1)2023年7月22日16:16, (a2~d2)2024年7月12日13:50和(a3~d3)2024年7月14日15:18在2 km高度的X波段相控阵雷达双偏振参量ZH、ZDR、KDP、CC(填色)和反演风场(风矢) 注:黑色三角形为降水极值站点,蓝色圆圈为辐合区。 Fig. 4 Dual-polarization parameters (colored) of ZH, ZDR, KDP and CC and retrieval wind field (vector) at the 2 km height of the X-band phased-array radar at (a1-d1) 16:16 BT 22 July 2023, (a2-d2) 13:50 BT 12 July 2024, and (a3-d3) 15:18 BT 14 July 2024 |
三次极端降水过程中X波段相控阵雷达识别的风暴轨迹如图 5所示,“230722”强风暴发生在龙门山脉,山区地形有利于风暴停滞少动,移动范围6 km,且风暴向着地势较高的地区移动,存在爬坡,强迫抬升有利于降水增幅,因此强降水持续时间最长。“240712”和“240714”发生在平原地区,但风暴移动仍然很慢,“240712”单体移动范围为7 km,“240714”单体移动范围为5.5 km。
|
图 5 (a) 2023年7月22日16:05—16:25杭州富阳,(b)2024年7月12日14:10—14:26绍兴诸暨和(c)2024年7月14日15:10—15:35绍兴诸暨风暴追踪 注:图中阴影为高精度地形。 Fig. 5 Storm tracking from (a) 16:05 BT to 16:25 BT 22 July 2023 in Fuyang of Hangzhou, (b) 14:10 BT to 14:26 BT 12 July 2024 in Zhuji of Shaoxing, and (c) 15:10 BT to 15:35 BT 14 July 2024 in Zhuji of Shaoxing |
三次强降水风暴基本都为横向分布,经过降水极值点做ZH、ZDR、KDP和CC以及反演风场的纬向垂直剖面(图 6),可以看到:降水风暴中包含多个强单体,单体横向排列,ZH、ZDR和KDP大值中心都在0℃层以下。由于环境气流均为西南风,风暴西侧有入流,因此成熟单体风暴西侧为倾斜上升气流,随高度上升而东倾,东侧为下沉气流,下沉气流随高度下降也向东倾斜,2023年7月22日16:16(图 6a1~6d1)风暴的上升气流由于X波段相控阵雷达衰减无法显示。强单体中上升气流与下沉气流不重叠,倾斜上升(下沉)气流的配置使得降水粒子的下落不会影响上升气流,有利于强对流系统的发展与维持(潘佳文等,2022)。在西侧西南风入流处均有新单体生成,强单体生成后沿着环境风东移,不断经过极端降水点,与平面图(图 4)分析一致。
|
图 6 (a1~d1)2023年7月22日16:16,(a2~d2)2024年7月12日13:50和(a3~d3)2024年7月14日15:18 X波段相控阵雷达双偏振参量ZH、ZDR、KDP、CC(填色)和反演风场(风矢)沿降水极值点纬向垂直剖面 注:图中黑色三角形为极值点,黑色虚线为0℃层。 Fig. 6 Zonal vertical profile of dual-polarization parameters (colored) of ZH, ZDR, KDP and CC and retrieval wind field (vector) from X-band phased-array radar along the precipitation extreme point at (a1-d1) 16:16 BT 22 July 2023, (a2-d2) 13:50 BT 12 July 2024 and (a3-d3) 15:18 BT 14 July 2024 |
对三次极端短时强降水过程降水极值点上空的X波段相控阵雷达双偏振参数ZH、ZDR、KDP和CC高度-时间演变进行分析(图 7a~7d),可以看到降水极值点上空强降水期间ZH中心值≥55 dBz,且中心大部分时间出现在0℃层以下,即暖云层内,导致风暴内降水效率极高(除“240712”ZH大值中心曾升高至6 km附近)。分钟降水强度峰值对应ZH大值时刻。三次过程风暴的ZDR极值均≥2.5 dB,其中“240712”在14:00—14:05前后的ZDR最大值≥3 dB,“230722”中ZDR≥2.5 dB出现时段很短,大部分时间≤2.5 dB。根据ZDR和雨滴平均直径Dm的对应关系式(Beard and Chuang, 1987;Bringi and Chandrasekar, 2001):Dm=1.619(ZDR)0.485,2.5 dB对应雨滴平均直径为2.5 mm,3 dB对应2.8 mm,表明三次过程的大雨滴平均尺度均超过2.5 mm,“240712”达到2.8 mm以上。但“230722”大部分时段内雨滴较小,风暴范围内(以35 dBz为界)3 km以下的ZDR均值只有0.84 dB,对应雨滴平均直径1.5 mm,而“240712”和“240714”的ZDR均值分别为2.26 dB和1.14 dB,对应雨滴平均直径2.4 mm和1.7 mm,三次过程雨滴尺度差异较大,而分钟降水强度差异不大,说明分钟降水强度与ZDR并不呈正比关系,但从时间演变来看,分钟降水强度增强一般仍对应ZDR的增大。ZDR大值中心在整个强降水过程中均在3 km之下,表明>2 mm的大雨滴集中在低层。KDP大值区的出现时间滞后于ZDR,可能原因是雨滴在下落过程中通过碰并快速增长为直径超过2 mm的大雨滴,形态变得扁平,ZDR也随之增大,而当雨滴增大到一定尺度时又将破碎成若干小雨滴,导致雨滴浓度上升,表现为KDP的滞后增大和ZDR的减小。近地面KDP的增大与分钟降水强度的增大对应最好,KDP大值区接地常常对应分钟降水峰值的出现(Wang and Yang, 2003;潘佳文等,2022)。从CC的分布来看,“240712”和“240714”在降水极值时刻附近中层存在小范围的CC≤0.9,表明中层存在冰相粒子和雨滴的混合区,冰相粒子下落过程中融化后,融化的冰相粒子与云滴碰并可加速雨水的产生(肖辉等,2004),因此中层CC≤0.9出现时段降水容易达到最强(图 7e2~7e3)。
|
图 7 (a1~e1)2023年7月22日16:00—18:30,(a2~e2)2024年7月12日13:30—14:50和(a3~e3)2024年7月14日14:40—15:55极值点上空X波段相控阵雷达(a~d)双偏振参量ZH、ZDR、KDP、CC的时间-高度演变和(e)逐5 min降水量随时间的变化 注:图中黑色虚线为0℃层。 Fig. 7 (a-d) Time-height evolution of dual-polarization parameters of ZH, ZDR, KDP and CC and (e) 5 min precipitation with time from X-band dual-polarization radar over precipitation extreme point from (a1-e1) 16:00 BT to 18:30 BT 22 July 2023, (a2-e2) 13:30 BT to 14:50 BT 12 July 2024 and (a3-e3) 14:40 BT to 15:55 BT 14 July 2024 |
本文基于X波段相控阵雷达基本产品,研究了浙江夏季极端降水分钟级双偏振参量统计特征,并借助反演风场分析典型极端降水过程的风暴精细结构。主要结论如下:
(1) 4 km以下ZH、ZDR和KDP平均值和中位数随着分钟降水强度增大而增大,而随着高度层升高,ZH和KDP有减小趋势,4 km以上的统计值小于4 km以下,其中ZH和KDP在0~1 km最大。在降水峰值发生前后,低层双偏振参量均存在先增大后减小的变化趋势,在分钟降水极值前3~10 min增长,极值后2~5 min减小。
(2) 无论是随降水强度还是随时间变化,KDP的变化幅度都是最显著的,>2.5 mm·min-1的超强降水KDP在各高度上较1.0~1.5 mm·min-1增长30%~246%,较2.0~2.5 mm·min-1增长15%~167%,在降水极值发生前,KDP在2 km以下涨幅133%~205%,增速为0.33~0.37 °·km-1·min-1,跌幅49%~55%,减速为0.63~0.93 °·km-1·min-1。因此分钟降水强度主要取决于KDP,即粒子浓度。
(3) 典型极端降水风暴为后向传播型风暴,风暴西侧每4~6 min新生一个单体,共生成单体3~6个,风暴全生命史≥65 min,移速慢,移动范围小,列车效应和准静止造成极端降水。风暴内存在4~5 km的深厚气流辐合区,有利于风暴强度维持。双偏振参量大值中心均低于4 km,其中ZDR大值中心在3 km之下,低层雨滴平均直径≥1.5 mm。KDP的增大滞后于ZDR的增大,可能原因为雨滴下落时先碰并增长为大雨滴后破碎成若干小雨滴,导致雨滴浓度上升。
(4) X波段相控阵雷达回波衰减严重,要积极探索更有效的衰减订正方法,提高雷达数据质量。此外雷达发展时间较短,目前仅有三年样本可供研究,样本量少,可能影响分析结果的准确性和可靠性,如文中各降水强度等级的双偏振参量阈值以及风暴内气流辐合强度等定量指标,可能存在误差,因此还需要通过更多的观测事实来加以验证。
布和朝鲁, 诸葛安然, 谢作威, 等, 2022. 2021年"7.20"河南暴雨水汽输送特征及其关键天气尺度系统[J]. 大气科学, 46(3): 725-744. Bueh C L, Zhuge A R, Xie Z W, et al, 2022. Water vapor transportation features and key synoptic-scale systems of the "7.20" rainstorm in Henan Province in 2021[J]. Chin J Atmos Sci, 46(3): 725-744 (in Chinese).
|
陈明轩, 王迎春, 肖现, 等, 2013. 北京"7.21"暴雨雨团的发生和传播机理[J]. 气象学报, 71(4): 569-592. Chen M X, Wang Y C, Xiao X, et al, 2013. Initiation and propagation mechanism for the Beijing extreme heavy rainstorm clusters on 21 July 2012[J]. Acta Meteor Sin, 71(4): 569-592 (in Chinese).
|
谌芸, 孙军, 徐珺, 等, 2012. 北京721特大暴雨极端性分析及思考(一)观测分析及思考[J]. 气象, 38(10): 1255-1266. Chen Y, Sun J, Xu J, et al, 2012. Analysis and thinking on the extremes of the 21 July 2012 torrential rain in Beijing Part Ⅰ: observation and thinking[J]. Meteor Mon, 38(10): 1255-1266 (in Chinese). DOI:10.7519/j.issn.1000-0526.2012.10.012
|
楚荣忠, 王致君, 刘黎平, 等, 1997. 双线偏振雷达降雨估测分析[J]. 气象学报, 55(1): 104-110. Chu R Z, Wang Z J, Liu L P, et al, 1997. Preliminary analysis of rainfall estimate utilizing dual linear polarization radar[J]. Acta Meteor Sin, 55(1): 104-110 (in Chinese).
|
刁秀广, 郭飞燕, 2021. 2019年8月16日诸城超级单体风暴双偏振参量结构特征分析[J]. 气象学报, 79(2): 181-195. Diao X G, Guo F Y, 2021. Analysis of polarimetric signatures in the supercell thunderstorm occurred in Zhucheng on 16 August 2019[J]. Acta Meteor Sin, 79(2): 181-195 (in Chinese).
|
刁秀广, 张磊, 孟宪贵, 等, 2020. 两次强降水风暴双偏振参量特征分析[J]. 海洋气象学报, 40(3): 27-36. Diao X G, Zhang L, Meng X G, et al, 2020. Analysis on characteristics of dual-polarization parameters of two heavy precipitation storms[J]. J Mar Meteor, 40(3): 27-36 (in Chinese).
|
董良鹏, 张萍萍, 2022. 2020年湖北省两次低涡型极端降水气象因子异常特征对比[J]. 气象与环境学报, 38(6): 20-28. Dong L P, Zhang P P, 2022. Comparison of abnormalism of meteorological factors on two extreme precipitations triggered by low vortex in Hubei Province in 2020[J]. J Meteor Environ, 38(6): 20-28 (in Chinese).
|
冯晋勤, 汤达章, 曹长尧, 2014. 福建西部山区短时暴雨雷达回波特征及中小尺度系统分析[J]. 气象, 40(3): 297-304. Feng J Q, Tang D Z, Cao C Y, 2014. Analyses on radar echo characteristics and meso-microscale systems of short-time rainfalls in western mountainous area of Fujian[J]. Meteor Mon, 40(3): 297-304 (in Chinese). DOI:10.7519/j.issn.1000-0526.2014.03.005
|
冯亮, 肖辉, 孙跃, 2018. X波段双偏振雷达水凝物粒子相态识别应用研究[J]. 气候与环境研究, 23(3): 366-386. Feng L, Xiao H, Sun Y, 2018. A study on hydrometeor classification and application based on X-band dual-polarization radar measurements[J]. Climatic Environ Res, 23(3): 366-386 (in Chinese).
|
柯文华, 俞小鼎, 林伟旺, 等, 2012. 一次由"列车效应"造成的致洪暴雨分析研究[J]. 气象, 38(5): 552-560. Ke W H, Yu X D, Lin W W, et al, 2012. The analysis of the heavy rainstorm caused by "train effect"[J]. Meteor Mon, 38(5): 552-560 (in Chinese). DOI:10.7519/j.issn.1000-0526.2012.05.005
|
寇蕾蕾, 李应超, 楚志刚, 等, 2018. C波段双偏振多普勒天气雷达资料分析及在定量估计降水中的应用研究[J]. 热带气象学报, 34(4): 460-471. Kou L L, Li Y C, Chu Z G, et al, 2018. C-band dual-polarization Doppler weather radar data analysis and its application in quantitative precipitation estimation[J]. J Trop Meteor, 34(4): 460-471 (in Chinese).
|
李芳, 刁秀广, 2023. 不同类型强降水风暴低层双偏振参量对比分析[J]. 气象, 49(9): 1075-1084. Li F, Diao X G, 2023. Comparative analysis of low-level dual polarization parameters of different types of severe rainfall storm[J]. Meteor Mon, 49(9): 1075-1084 (in Chinese). DOI:10.7519/j.issn.1000-0526.2023.072401
|
刘黎平, 胡志群, 吴翀, 2016. 双线偏振雷达和相控阵天气雷达技术的发展和应用[J]. 气象科技进展, 6(3): 28-33. Liu L P, Hu Z Q, Wu C, 2016. Development and application of dual linear polarization radar and phased-array radar[J]. Adv Meteor Sci Technol, 6(3): 28-33 (in Chinese).
|
刘黎平, 钱永甫, 王致君, 等, 1996a. 双线偏振雷达测雨效果的对比分析[J]. 大气科学, 20(5): 615-619. Liu L P, Qian Y F, Wang Z J, et al, 1996a. Comparative study on dual linear polarization radar measuring rainfall rate[J]. Chin J Atmos Sci, 20(5): 615-619 (in Chinese).
|
刘黎平, 钱永甫, 王致君, 1996b. 用双线偏振雷达研究云内粒子相态及尺度的空间分布[J]. 气象学报, 54(5): 590-599. Liu L P, Qian Y F, Wang Z J, 1996b. The study of spacial distribution of phase and size of hydrometeorsin cloud by dual linear polarization radar[J]. Acta Meteor Sin, 54(5): 590-599 (in Chinese).
|
刘璐, 冉令坤, 周玉淑, 等, 2015. 北京"7.21"暴雨的不稳定性及其触发机制分析[J]. 大气科学, 39(3): 583-595. Liu L, Ran L K, Zhou Y S, et al, 2015. Analysis on the instability and trigger mechanism of torrential rainfall event in Beijing on 21 July 2012[J]. Chin J Atmos Sci, 39(3): 583-595 (in Chinese).
|
罗云, 黄锦灿, 李兆明, 等, 2021. 一次强降水对流风暴的三维风场特征分析[J]. 热带气象学报, 37(5-6): 770-780. Luo Y, Huang J C, Li Z M, et al, 2021. Analysis of three-dimensional wind field of convective storm during heavy precipitation[J]. J Trop Meteor, 37(5-6): 770-780 (in Chinese).
|
马舒庆, 陈洪滨, 王国荣, 等, 2019. 阵列天气雷达设计与初步实现[J]. 应用气象学报, 30(1): 1-12. Ma S Q, Chen H B, Wang G R, et al, 2019. Design and initial implementation of array weather radar[J]. J Appl Meteor Sci, 30(1): 1-12 (in Chinese).
|
潘佳文, 彭婕, 魏鸣, 等, 2022. 副热带高压背景下极端短时强降水的双偏振相控阵雷达观测分析[J]. 气象学报, 80(5): 748-764. Pan J W, Peng J, Wei M, et al, 2022. Analysis of an extreme flash rain event under the background of subtropical high based on dual-polarization phased array radar observations[J]. Acta Meteor Sin, 80(5): 748-764 (in Chinese).
|
申高航, 高安春, 李君, 2021. 雨滴谱及双偏振雷达等资料在一次强降水过程中的应用[J]. 气象, 47(6): 737-745. Shen G H, Gao A C, Li J, 2021. Application of raindrop spectrum and dual polarization radar data to a heavy rain process[J]. Meteor Mon, 47(6): 737-745 (in Chinese). DOI:10.7519/j.issn.1000-0526.2021.06.009
|
石娟, 蒋贤玲, 柯元惠, 等, 2023. 2012—2021年海南岛极端短时强降水特征及其成因分析[J]. 气象与环境学报, 39(2): 62-70. Shi J, Jiang X L, Ke Y H, et al, 2023. Characteristics and causes of short-duration extreme rainfall in Hainan Island from 2012 to 2021[J]. J Meteor Environ, 39(2): 62-70 (in Chinese).
|
苏永彦, 刘黎平, 2022. S波段双偏振雷达和X波段相控阵天气雷达中气旋识别结果对比[J]. 气象, 48(2): 229-244. Su Y Y, Liu L P, 2022. Comparison of mesocyclone identification results between S-band dual polarization radar and X-band phased array weather radar[J]. Meteor Mon, 48(2): 229-244 (in Chinese). DOI:10.7519/j.issn.1000-0526.2021.120101
|
唐明晖, 付炜, 罗源, 等, 2024. 长沙一次大暴雨的双偏振及风场反演特征分析[J]. 热带气象学报, 40(4): 623-632. Tang M H, Fu W, Luo Y, et al, 2024. Analysis of dual polarization and wind field inversion characteristics of a heavy rainstorm in Changsha[J]. J Trop Meteor, 40(4): 623-632 (in Chinese).
|
王丛梅, 俞小鼎, 2015. 2013年7月1日河北宁晋极端短时强降水成因研究[J]. 暴雨灾害, 34(2): 105-116. Wang C M, Yu X D, 2015. Investigation of the cause of an extreme flash-rain event in Ningjin County on 1 July 2013[J]. Torr Rain Dis, 34(2): 105-116 (in Chinese).
|
王洪, 吴乃庚, 万齐林, 等, 2018. 一次华南超级单体风暴的S波段偏振雷达观测分析[J]. 气象学报, 76(1): 92-103. Wang H, Wu N G, Wan Q L, et al, 2018. Analysis of S-band polarimetric radar observations of a hail-producing supercell[J]. Acta Meteor Sin, 76(1): 92-103 (in Chinese).
|
吴翀, 刘黎平, 张志强, 2014. S波段相控阵天气雷达与新一代多普勒天气雷达定量对比方法及其初步应用[J]. 气象学报, 72(2): 390-401. Wu C, Liu L P, Zhang Z Q, 2014. Quantitative comparison algorithm between the S-band phased array radar and the CINRAD/SA and its preliminary application[J]. Acta Meteor Sin, 72(2): 390-401 (in Chinese).
|
伍魏, 周筠珺, 李晓敏, 等, 2017. X波段双偏振雷达资料的质量控制方法对比研究[J]. 成都信息工程大学学报, 32(1): 19-27. Wu W, Zhou Y J, Li X M, et al, 2017. Comparative study on quality control methods of X-band dual-polarization radar data[J]. J Chengdu Univ Inform Technol, 32(1): 19-27 (in Chinese).
|
肖辉, 王孝波, 周非非, 等, 2004. 强降水云物理过程的三维数值模拟研究[J]. 大气科学, 28(3): 385-404. Xiao H, Wang X B, Zhou F F, et al, 2004. A three-dimensional numerical simulation on microphysical processes of torrential rainstorms[J]. Chin J Atmos Sci, 28(3): 385-404 (in Chinese).
|
肖靖宇, 杨玲, 俞小鼎, 等, 2022. 佛山相控阵阵列雷达探测2020年9月4日短时强降水天气过程的分析[J]. 气象, 48(7): 826-839. Xiao J Y, Yang L, Yu X D, et al, 2022. Analysis of short-time severe rainfall on 4 September 2020 detected by phased array radar in Foshan[J]. Meteor Mon, 48(7): 826-839 (in Chinese). DOI:10.7519/j.issn.1000-0526.2022.032801
|
荀爱萍, 张伟, 黄惠镕, 等, 2019. 厦门市S波段双偏振雷达测雨效果分析[J]. 气象与环境科学, 42(4): 103-110. Xun A P, Zhang W, Huang H R, et al, 2019. Analysis of rainfall measuring errors of S-band dual polarization weather radar in Xiamen[J]. Meteor Environ Sci, 42(4): 103-110 (in Chinese).
|
杨浩, 周文, 汪小康, 等, 2022. "21·7"河南特大暴雨降水特征及极端性分析[J]. 气象, 48(5): 571-579. Yang H, Zhou W, Wang X K, et al, 2022. Analysis on extremity and characteristics of the "21·7" severe torrential rain in Henan Province[J]. Meteor Mon, 48(5): 571-579 (in Chinese). DOI:10.7519/j.issn.1000-0526.2021.111201
|
于明慧, 刘黎平, 吴翀, 等, 2019. 利用相控阵及双偏振雷达对2016年6月3日华南一次强对流过程的分析[J]. 气象, 45(3): 330-344. Yu M H, Liu L P, Wu C, et al, 2019. Analysis of severe convective process in South China on 3 June 2016 using phased-array and dual-polarization radar[J]. Meteor Mon, 45(3): 330-344 (in Chinese). DOI:10.7519/j.issn.1000-0526.2019.03.004
|
俞小鼎, 2012. 2012年7月21日北京特大暴雨成因分析[J]. 气象, 38(11): 1313-1329. Yu X D, 2012. Investigation of Beijing extreme flooding event on 21 July 2012[J]. Meteor Mon, 38(11): 1313-1329 (in Chinese). DOI:10.7519/j.issn.1000-0526.2012.11.001
|
俞小鼎, 2013. 短时强降水临近预报的思路与方法[J]. 暴雨灾害, 32(3): 202-209. Yu X D, 2013. Nowcasting thinking and method of flash heavy rain[J]. Torr Rain Disa, 32(3): 202-209 (in Chinese).
|
曾琳, 李怀宇, 梁之彦, 等, 2023. 2022年"4·23"广州超级单体强降水多雷达观测分析[J]. 广东气象, 45(3): 7-12. Zeng L, Li H Y, Liang Z Y, et al, 2023. Analysis of an intense supercell rain in Guangzhou on April 23, 2022 as observed by multiple radars[J]. Guangdong Meteor, 45(3): 7-12 (in Chinese).
|
张鸿发, 郄秀书, 王致君, 等, 2001. 偏振雷达观测强对流雹暴云[J]. 大气科学, 25(1): 38-48. Zhang H F, Qie X S, Wang Z J, et al, 2001. Polarization radar observations on hailstorms[J]. Chin J Atmos Sci, 25(1): 38-48 (in Chinese).
|
张家国, 黄小彦, 周金莲, 等, 2013. 一次梅雨锋上中尺度气旋波引发的特大暴雨过程分析[J]. 气象学报, 71(2): 228-238. Zhang J G, Huang X Y, Zhou J L, et al, 2013. Analysis of an excessive rainstorm event initiated by a mesoscale cyclonic wave along the Meiyu front[J]. Acta Meteor Sin, 71(2): 228-238 (in Chinese).
|
张蔚然, 刘黎平, 吴翀, 2023. X波段相控阵偏振雷达观测墨脱地区云降水宏观特征的统计研究[J]. 大气科学, 47(1): 70-85. Zhang W R, Liu L P, Wu C, 2023. Statistical characteristics of cloud precipitation in the Motuo Area observed by X-band dual-polarization phased array radar[J]. Chin J Atmos Sci, 47(1): 70-85 (in Chinese).
|
张曦, 黄兴友, 刘新安, 等, 2022. 北京大兴国际机场相控阵雷达强对流天气监测[J]. 应用气象学报, 33(2): 192-204. Zhang X, Huang X Y, Liu X A, et al, 2022. The hazardous convective storm monitoring of phased-array antenna radar at Daxing International Airport of Beijing[J]. J Appl Meteor Sci, 33(2): 192-204 (in Chinese).
|
张妤晴, 张伟, 郑辉, 等, 2023. S波段-X波段雷达联合观测在厦门局地短时强降水过程中的应用分析[J]. 气象与环境科学, 46(4): 85-94. Zhang Y Q, Zhang W, Zheng H, et al, 2023. Application analysis of S-POL-XPAR joint observation in local short-time heavy precipitation processes in Xiamen[J]. Meteor Environ Sci, 46(4): 85-94 (in Chinese).
|
张哲, 戚友存, 兰红平, 等, 2023. 深圳S波段双偏振和X波段双偏振相控阵雷达定量降水估测组网拼图系统介绍[J]. 气象学报, 81(3): 506-519. Zhang Z, Qi Y C, Lan H P, et al, 2023. Introduction to a radar mosaicking system for quantitative precipitation estimation based on the S-band and X-band phase-array polarimetric radars in Shenzhen[J]. Acta Meteor Sin, 81(3): 506-519 (in Chinese).
|
Beard K V, Chuang C, 1987. A new model for the equilibrium shape of raindrops[J]. J Atmos Sci, 44(11): 1509-1524. DOI:10.1175/1520-0469(1987)044<1509:ANMFTE>2.0.CO;2
|
Bluestein H B, French M M, Popstefanija I, et al, 2010. A mobile, phased-array Doppler radar for the study of severe convective storms[J]. Bull Amer Meteor Soc, 91(5): 579-600. DOI:10.1175/2009BAMS2914.1
|
Bringi V N, Chandrasekar V, 2001. Polarimetric Doppler Weather Radar: Principles and Applications[M].
Cambridge: Cambridge University Press.
|
Chappell C F, 1986. Quasi-stationary convective events[M]//Ray P S. Mesoscale Meteorology and Forecasting. Boston: American Meteorological Society: 289-310.
|
Cheng S Y, Xu L R, Qin W, et al, 2018. Temporal and spatial variation of extreme precipitation in the Longchuan River Basin in 1978-2015 years[J]. IOP Conference Series: Earth Envir Sci, 208: 012026. DOI:10.1088/1755-1315/208/1/012026
|
Corfidi S F, 2003. Cold pools and MCS propagation: forecasting the motion of downwind-developing MCSs[J]. Wea Forecasting, 18(6): 997-1017. DOI:10.1175/1520-0434(2003)018<0997:CPAMPF>2.0.CO;2
|
Doswell Ⅲ C A, Brooks H E, Maddox R A, 1996. Flash flood forecasting: an ingredients-based methodology[J]. Wea Forecasting, 11(4): 560-581. DOI:10.1175/1520-0434(1996)011<0560:FFFAIB>2.0.CO;2
|
Heinselman P L, Priegnitz D L, Manross K L, et al, 2008. Rapid sampling of severe storms by the national weather radar testbed phased array radar[J]. Weat Forecasting, 23(5): 808-824. DOI:10.1175/2008WAF2007071.1
|
IP CC, 2013. Climate Change 2013:the Physical Science Basis[M].
Cambridge: Cambridge University Press.
|
Li J, Wang B, 2018. Predictability of summer extreme precipitation days over eastern China[J]. Climate Dyn, 51(11): 4543-4554.
|
Parker M D, Johnson R H, 2000. Organizational modes of midlatitude mesoscale convective systems[J]. Mon Wea Rev, 128(10): 3413-3436. DOI:10.1175/1520-0493(2001)129<3413:OMOMMC>2.0.CO;2
|
Potvin C K, Shapiro A, Yu T Y, et al, 2009. Using a low-order model to detect and characterize tornadoes in multiple-Doppler radar data[J]. Mon Wea Rev, 137(4): 1230-1249. DOI:10.1175/2008MWR2446.1
|
Potvin C K, Wicker L J, Shapiro A, 2012. Assessing errors in variational dual-Doppler wind syntheses of supercell thunderstorms observed by storm-scale mobile radars[J]. J Atmos Ocean Technol, 29(8): 1009-1025. DOI:10.1175/JTECH-D-11-00177.1
|
Reif D W, Bluestein H B, 2017. A 20-year climatology of nocturnal convection initiation over the central and southern Great Plains during the warm season[J]. Mon Wea Rev, 145(5): 1615-1639. DOI:10.1175/MWR-D-16-0340.1
|
Wang P Y, Yang J, 2003. Observation and numerical simulation of cloud physical processes associated with torrential rain of the Meiyu front[J]. Adv Atmos Sci, 20(1): 77-96. DOI:10.1007/BF03342052
|
Weckwerth T M, Wilson J W, Hagen M, et al, 2011. Radar climatology of the COPS region[J]. Quart J Roy Meteor Soc, 137(S1): 31-41. DOI:10.1002/qj.747
|
Zhang Y, Bai L Q, Meng Z Y, et al, 2021. Rapid-scan and polarimetric phased-array radar observations of a tornado in the Pearl River estuary[J]. J Trop Meteor, 27(1): 81-86.
|
Zrnic D S, Kimpel J F, Forsyth D E, et al, 2007. Agile-beam phased array radar for weather observations[J]. Bull Amer Meteor Soc, 88(11): 1753-1766. DOI:10.1175/BAMS-88-11-1753
|
2025, Vol. 51 
