2. 华东区域相控阵天气雷达应用联合实验室,上海 200030;
3. 上海海洋中心气象台,上海 201306
2. East China Phased Array Weather Radar Application Joint Laboratory, Shanghai 200030;
3. Shanghai Marine Meteorological Center, Shanghai 201306
西太平洋副热带高压(以下简称副高)作为我国重要天气系统之一,对极端热浪和强对流天气产生显著影响。在副高控制下,冷空气影响位置偏北,同时,副高内部以下沉气流为主,其控制区域主要为晴热天气(傅云飞和冼桃,2017;张树民等,2017),导致对流活动不强,但是午后的局地强对流天气仍时有发生。例如,2022年夏季,在副高控制下,我国东部沿海地区经历了连续的极端热浪,日最高气温达到或超过38℃,同时伴随多次局地短时强降水和雷暴大风天气。
随着我国精细化预报预警技术与探测能力的发展,强对流天气的业务预报能力整体呈现上升趋势(俞小鼎和郑永光,2020),当前业务上强对流的预报预警通常分为潜势预报和临近预报。传统的强对流潜势预报方法主要有两大类:配料法(Doswell,1987;Moller,2001)和流型辨识法(Miller,1972;McNulty,1995)。随着机器学习的发展,为强对流潜势预报提供了新思路、新方法。李文娟等(2018)基于NCEP再分析资料,运用随机森林算法对浙江强对流天气进行了分类预报。Zhou et al(2019)基于数值模式预报资料,运用卷积神经网络方法,分别构建了不同类别强对流天气的预报模型。在强对流监测及短时临近预报方面,雷达及卫星遥感数据的运用起到了至关重要的作用。新一代天气雷达反射率因子产品不但可以直观体现回波的动态变化趋势、降水的强度演变,而且有助于对短时强降水、龙卷、下击暴流、飑线等强天气的分析与识别。同时,雷达反射率因子还常用于回波外推预报相关研究,主要有两类,其一,运用光流法进行雷达回波外推预报(曹春燕等,2015),主要是通过计算雷达回波的光流场获得对应的运动矢量场,并基于运动矢量场进行雷达回波的外推预报;其二,通过机器学习或者深度学习方法实现雷达回波的外推(Tran and Song, 2019;袁凯等,2022)。外推模型对已生成的对流单体的移动路径及强度变化有一定的预报能力,但是并没有解决对流初生预报的难题。此外,高分辨率新一代静止气象卫星也被用于对流初生临近预报并发挥了重要作用(郑永光等,2015)。通过卫星观测数据的多通道红外亮温(TBB)及其时间变化特征,并将其融合成多个关键参数,以进行对流初生的识别与分析(郭巍等,2018;Mecikalski et al,2010a; 2010b),可很好地体现云相态、云顶温度、云顶厚度等在对流发生时的改变趋势。上述研究虽具有重要意义,但由于副高控制下的局地强对流具有历时短、范围小、强度大的特点,模式以及基于此的客观预报算法难以进行有效预报。因此,高时空分辨率资料的融合运用可作为进一步提升此类强对流精细化临近预报能力的途径之一。随着FY系列静止气象卫星成功投入业务运用,其获得的红外亮温数据分辨率可达4 km、可见光数据可达500 m,可运用更高分辨率的可见光数据针对此类过程的对流云团演变状况进行讨论。
上海的地理位置使其受到副高的显著影响。副高控制下的强降水事件发生频次及其增加趋势在上海中心城区大于郊区(顾问等,2015)。在副高控制下,局地强对流天气的预报容易出现错报,其回波源地多数位于上海北部地区,与海风锋及地面弱切变线密切相关(尹红萍和曹晓岗,2010;漆梁波和陈雷,2009;顾问等,2017)。王晓峰等(2015)对副高控制下的一次上海局地强对流过程进行了快速同化数值试验研究,指出热力差异及城市热岛效应的叠加是引发此次局地强对流发生的关键。岳彩军等(2018)基于上海地区的加密地面气象站资料,采用仅需一层资料计算的非地转Q矢量诊断量,研究了副高控制下短时强降水发生、发展演变成因,并指出Q矢量与温度露点差重叠区对短时强降水的落区有很好的指导意义。
以上研究对认识和理解上海局地强对流的发生发展机制具有重要意义,但缺少对高时空分辨率的气象卫星、天气雷达与地面自动气象观测站等多源数据的综合运用,而通过精细化多源观测资料分析,理解对流风暴的演变过程及其内在的热动力学主导机制,是对不同类型强对流灾害天气进行预警的主要手段(孙继松,2023)。同时,实际业务中对此类强对流空报、漏报均较多,因此,加强对副高控制下局地强对流的研究,运用多源观测数据,充分发挥天-空-地一体协同监测的优势,进一步探索其成因,对于提高强对流天气的预报预警能力具有重要意义。本文将以2022年8月13日副高控制下上海近岸的一次局地混合型强对流过程为例,对强对流发生的成因及临近预报着眼点进行研究。
1 资料和分析范围本文使用的资料有:上海200多个地面自动气象站的逐分钟平均气温、风速、露点温度、气压以及逐小时降水量数据;上海南汇双偏振雷达数据(图 1);FY-4A气象卫星500 m分辨率的可见光波段数据,对数据进行定标,并根据反照率进行着色处理;时间间隔为1 h,水平分辨率为0.25°×0.25°的ERA5再分析资料,作为天气背景分析资料。
|
图 1 上海地面自动气象观测站和南汇雷达站位置 注:红框为对流中心区域。 Fig. 1 The location of surface automatic weather stations and Nanhui Radar Station in Shanghai |
处理地面自动气象站数据时,首先采用Barnes方法对数据进行插值,生成5 km×5 km的格点数据。其次,将连续6个时次的1 min平均格点数据进行简单算术累加平均,得到逐6 min的格点数据,用于计算Q矢量散度、扰动露点温度和扰动温度。
根据此次强对流主要影响范围,将研究范围确定为31.1°~31.4°N、121.4°~121.65°E的区域,即为对流中心区域(图 1中红框所示)。在分析陆地区域时,不考虑长兴岛与横沙岛,但在分析水域时包括上述两个地点。此外,超出该区域的陆地与水域不纳入分析范围之内。
2 天气过程2022年8月13日13:10—15:10(北京时,下同),上海近岸出现一次局地混合型短时强降水过程。此次降水过程生命史短、局地性强、强度强,并伴有9级以上的雷暴大风(≥20.8 m·s-1)。本节重点分析此次降水过程形成的天气背景、降水及大风特征。
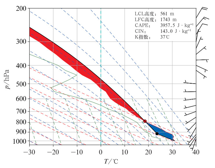
2.1 天气背景由13日08:00的高空图(图 2a,2c)可见,500 hPa上副高较强盛,南北范围为15°~35°N,从海上向西延伸至100°E以西地区,呈现明显的带状分布;华东地区850 hPa气温为20~24℃。700 hPa上华东地区大部分相对湿度在70%以下,但是邻近上海西南部的杭州湾附近的嘉兴、太湖等地则介于70%~80%,且比湿>16 g·kg-1、CAPE>3000 J·kg-1,表明能量条件较好。同时,结合08:00宝山的探空观测(图 3)可以发现,抬升凝结高度为561 m,K指数为37℃,CAPE为3957.5 J·kg-1,且存在着逆温现象,有利于午后对流的发生发展。进一步由14:00高空图可见(图 2b,2d),副高位置变化不大,对于上海及浙北部分地区,700 hPa上上海区域的相对湿度增至70%~80%,CAPE依然保持较高值,但是比湿变化不明显。上述分析表明,此次局地强对流过程是在副高控制的天气背景下发生的,整体能量条件较好,且伴有适当的中低层湿度条件。
|
图 2 2022年8月13日(a,b)500 hPa位势高度(黑色等值线,单位:dagpm)、700 hPa相对湿度(填色)、CAPE(蓝色等值线,≥3000 J·kg-1)和850 hPa风场(风矢),(c,d)850 hPa温度(等值线, 单位:℃)和比湿(填色) Fig. 2 (a, b) 500 hPa geopotential height (balck contour, unit: dagpm), 700 hPa relative humidity (colored), CAPE (blue contour, ≥3000 J·kg-1) and 850 hPa wind field (wind vector), (c, d) 850 hPa temperature (contour, unit: ℃) and specific humidity (colored) on 13 August 2022 |
|
图 3 2022年8月13日08:00上海宝山站探空 Fig. 3 T-lnp of Baoshan Station in Shanghai at 08:00 BT 13 August 2022 |
13日13:10—14:00,浦东、宝山、杨浦等地开始出现局地强对流,覆盖范围东西约25 km、南北约35 km。此时,有29个地面自动气象站发生降水,其中2个站累计降水量超过20 mm,最大为46.3 mm (图 4a)。14:00—15:10(图 4b),降水区向西发展,共37个站发生降水,其中4个站超过20 mm,最大累计降水量达52.8 mm。13:10—15:10(图 4c),共43个站发生降水,其中8个站累计降水量超过20 mm,最大累计降水量达71.5 mm。由13:10—15:10极大风速分布可知(图 4d),共6个站极大风速≥13.8 m·s-1(7级以上),2个站≥17.2 m· s-1(8级以上),最大值达22.4 m·s-1(9级)。
|
图 4 2022年8月13日上海分钟级地面自动气象站(a~c)累计降水量,(d)极大风速分布 注:红框为对流中心区域。 Fig. 4 Distribution of (a-c) accumulated precipitation and (d) extreme wind speed at minute-level surface automatic weather stations in Shanghai on 13 August 2022 |
上述分析表明,此次局地强对流过程主要发生在13:10—15:10,15:10之后对流过程基本结束,整个过程历时2 h左右,水平尺度范围为25~35 km,主要呈团状分布,过程最大累计降水量达71.5 mm,且伴有9级大风,呈现生命史短、局地性显著及强度大的特点,是一次混合型强对流过程。
3 基于雷达和卫星资料的临近预报分析 3.1 基于南汇双偏振雷达回波演变特征的临近预报分析当副高强盛、气温异常偏高时,海风锋及其触发的对流活动更活跃。由南汇雷达0.5°仰角反射率因子演变(图 5)可知,12:00—12:30(图 5a),在上海北部沿江存在一条明显的海风锋,其反射率因子在15~25 dBz。13:04—13:10(图 5b),海风锋向内陆推进,在宝山、杨浦与浦东交界处分别出现>35 dBz的雷达反射率因子,并逐步形成块状回波。13:33(图略),雷达回波范围扩大,且出现>50 dBz的反射率因子。14:04(图 5c),雷达回波合并加强并向西南扩展,对流云团由γ尺度转为β尺度,表现为团状回波,同时,>35 dBz雷达反射率因子范围继续扩大,且中心值保持在50 dBz以上。
|
图 5 2022年8月13日上海南汇双偏振雷达0.5°仰角反射率因子演变 注:红框表示海风锋范围。 Fig. 5 Evolution of 0.5° elevation reflectivity factor of dual-polarization radar at Nanhui Station in Shanghai on 13 August 2022 |
综上,12:00出现明显海风锋,13:04出现35 dBz以上的块状回波,13:33回波呈迅速发展趋势,14:04回波快速发展成团。若以35 dBz作为判断对流发生与否的阈值,且以地面开始有降水出现的13:10作为此次局地强对流的发生时间,则雷达0.5°仰角反射率因子可以提前约10 min出现预警指征。
低仰角雷达反射率因子有助于确定地面辐合线的位置,而综合多层雷达反射率因子可判断强对流系统的垂直延伸和稳定性。故本文筛选出每个时刻对流中心区域内不同高度的最大反射率因子,对该区域内最大反射率因子随时间演变特征进行讨论。由图 6可知,对流初始回波(>35 dBz)于12:47左右在中间层5.0~7.5 km高度处生成,并逐渐向上和向下扩展。13:00—13:30,随着云内水滴和冰晶等水凝物的增加,反射率因子迅速增强,50 dBz的高值区位于0~10 km,同时,回波顶高度呈显著上升趋势,快速升至17 km以上。14:04之后,虽然回波顶高在14:32才开始下降,但是此时,35 dBz的高度随时间快速下降,中层50 dBz高值区同样呈下降趋势但趋势稍缓,表明了对流云团将步入衰弱阶段,这可能是强降水维持时间短但弱降水维持时间稍长的原因。
|
图 6 2022年8月13日11:04—15:07对流中心区域的最大雷达反射率因子的时间-高度演变 Fig. 6 Time-height evolution of the maximum radar reflectivity factor in the central area of convection from 11:04 BT to 15:07 BT 13 August 2022 |
综上,通过综合分析多层雷达反射率因子随时间变化特征,可以更清晰地展现对流发展的变化趋势,并将预警指征出现的时间提前至23 min左右。为了更好地研究对流云团的演变特征并探索卫星数据对此类强对流的提前预警能力,下文将进一步引入FY-4A卫星资料进行具体分析。
3.2 基于FY-4A可见光云图演变特征的临近预报分析由FY-4A可见光云图可知(图 7),12:00—12:30,在杨浦、浦东交界处上空,形成了反照率为0.25~0.30的薄积云(图 7a),呈零散的斑点分布,表明此时云团由低层开始向上发展。13:00—13:30,此阶段的薄积云转变为塔状积云,且反照率逐步增高,对流中心的反照率大于0.60(图 7b),这在一定程度上预示着上升气流推动着云层向上增长,从而形成了更为深厚的塔状积云,并向积雨云阶段过渡。14:00,对流云团进一步扩大,云团中心区域呈现为高反照率的浓积云(图 7c),其极值超过0.90。
|
图 7 2022年8月13日FY-4A可见光云图反照率演变 Fig. 7 Evolution of albedo of FY-4A visible cloud images on 13 August 2022 |
综上可知,12:00出现薄积云,13:00形成塔状积云,并向积雨云过渡,14:00对流达到最强盛的阶段。出现反照率0.25~0.30的薄积云是此次过程的前兆因子,出现反照率大于0.60的塔状积云意味着对流云团开始迅速发展,并向积雨云转换,此时会伴随着降水和雷暴大风的发生,故对于此次强对流的临近预报而言,FY-4A可见光云图预警时效早于雷达反射率因子,可以提高到70 min。
4 结合地面自动气象站的对流临近预报及成因前文分析表明,此次强对流过程为副高控制且中低层相对较干,但强降水区上空局地湿度条件较好,其是在弱天气强迫下形成的局地强对流,需要进一步结合地面加密自动气象观测站资料分析局地热力、动力及湿度条件。
4.1 地面温度场和风场演变特征及其作用分析图 8为10:00—14:00基于地面自动气象观测站的温度场和风场。10:00—11:00(图 8a,8b),上海地区陆地和其附近水域风力较弱,陆地气温在35℃以上,且陆地气温上升幅度明显大于水域,导致陆水之间形成了明显的温差,达到了4℃以上。由于热力差异的增大,水面吹向陆地的江风开始形成,在北部沿江冷暖风交汇处形成了一个较弱的海风锋。12:00(图 8c),市区最高气温达40℃以上,水陆温差继续增大,达到了6℃以上,促进了江风的进一步增强,可明显看到江风已影响位于对流中心区域的杨浦、宝山等地,且海风锋的位置也向内陆推进。13:00—13:30(图 8d,8e),34~36℃区域由沿江向内陆缓慢扩展,在宝山、杨浦与浦东交界处出现明显温度梯度,同时,海风锋继续向内陆移动,并在其附近出现雷达反射率因子>35 dBz的区域。地面风速明显增加,部分区域的气温降至32℃,存在>35 dBz的雷达回波,同时,地面测站出现降水,即冷、湿的江风与干、热的陆地空气交汇激发了局地对流,降水伴随下沉气流到达地面。14:00(图 8f),随着对流云团发展成熟及降水维持,局部区域气温继续降低至28℃以下。同时,强下沉气流导致风向呈四周发散形式,出现下击暴流,引起雷暴大风。
|
图 8 2022年8月13日上海地面自动气象站2 m气温(填色)与10 m风场(风矢)演变 注:蓝线代表海风锋,方框为其范围。 Fig. 8 Evolution of 2 m temperature (colored) and 10 m wind (wind vector) at surface automatic weather stations in Shanghai on 13 August 2022 |
综上所述,13:00之前,上海城区已出现35℃以上高温,提供了良好的局地热力强迫条件;同时,由于陆、水下垫面属性的差异,在城市热岛效应的影响下,导致城市陆地气温高于毗邻的长江水域气温,引发了向岸江风,一方面其经历水陆下垫面突变及城市陆地复杂下垫面,致使风向和风速形成辐合即海风锋,另一方面冷暖空气交汇导致大气不稳定,此时,存在一条明显的地面辐合线, 局地热力、动力强迫叠加作用产生有利于强对流发生的垂直上升运动条件。
4.2 仅需一层资料计算的非地转Q矢量演变特征及其作用分析降水的发生与垂直上升运动条件和水汽条件密切相关。为了进一步分析本次局地混合型强对流的成因,基于地面自动气象观测站资料,计算Q矢量散度辐合场,并结合扰动露点温度、扰动温度,以期通过分析地面大气上升运动条件、湿度条件发展演变及二者配合情况,来探究强对流过程的临近预报。
岳彩军(2009)从f平面、准静力、绝热、无摩擦、p坐标系的原始方程组出发,并采用替换平衡近似处理(即用地转风垂直切变代替实际风垂直切变),推导出计算资料仅需一层的非地转Q矢量诊断量,在p坐标系中,其计算公式可表示为:
| $ Q_x =-\frac{R}{p}\left(\frac{\partial u}{\partial x} \frac{\partial T}{\partial x}+\frac{\partial v}{\partial x} \frac{\partial T}{\partial y}\right) $ | (1) |
| $ Q_y =-\frac{R}{p}\left(\frac{\partial u}{\partial y} \frac{\partial T}{\partial x}+\frac{\partial v}{\partial y} \frac{\partial T}{\partial y}\right) $ | (2) |
式中:Qx和Qy分别为x方向和y方向的非地转Q矢量分量,R为气体常数,p为气压,T为气温,u、v分别为纬向风和经向风。
以非地转Q矢量散度为强迫项的非地转ω方程为:
| $ \nabla^2(\sigma \omega)+f^2 \frac{\partial^2 \omega}{\partial p^2}=-2 \nabla \cdot \boldsymbol{Q} $ | (3) |
式中:ω为垂直速度, σ为静力稳定度参数,f为地转参数。
当ω场具有波状特征时,则有:
| $ \nabla \cdot \boldsymbol{Q} \propto \omega $ | (4) |
式(4)可用来判断垂直运动,即当$\nabla \cdot \boldsymbol{Q}$ < 0时,ω < 0,为上升运动;当$\nabla \cdot \boldsymbol{Q}$>0时,ω>0,为下沉运动。
图 9、图 10分别为地面Q矢量散度辐合场与扰动温度、扰动露点温度(以10:00为初始时刻)演变。11:00—11:30,对流中心区域主要为晴朗天气,云系较少,城区扰动温度明显高于北部沿江区域(图 9a,9b)。由于强烈的太阳辐射,地面气温迅速升高,近地面水汽蒸发加快,市区、宝山部分地区及浦东紧邻市区的西北部部分区域扰动露点温度由正值转为负值(图 10a,10b),同时,海风锋前侧的扰动温度显著高于后侧,存在明显的扰动温度梯度。12:00—12:30,随着海风锋向南推进,由于海风锋后侧存在一股源自北部江面的相对湿冷气流,城区部分区域扰动温度减弱,由3~4℃降至2~3℃(图 9c,9d),并出现零散的扰动露点温度正值区(图 10c,10d)。13:00—13:30,随着海风锋继续移动,扰动露点温度正值区进一步扩大(图 10e)。之后,由于对流云系的发展、降水的发生,对流云团初生位置出现了明显冷池,最低扰动温度小于-5℃(图 9e,9f),局部扰动露点温度可达-3℃以下,且出现明显的扰动露点温度梯度(图 10e,10f)。
|
图 9 2022年8月13日地面Q矢量散度(等值线,单位:10-11 hPa-1·s-3)与扰动温度(填色)演变 注:蓝线代表海风锋,方框为其范围。 Fig. 9 Evolution of surface Q-vector divergence (contour, unit: 10-11 hPa-1·s-3) and the perturbation temperature (colored) on 13 August 2022 |
|
图 10 2022年8月13日地面扰动露点温度演变 Fig. 10 Evolution of surface perturbation dew point temperature on 13 August 2022 |
对于Q矢量散度而言,11:00—12:00(图 9a~9c),杨浦、宝山及浦东陆续出现Q矢量散度辐合,且其影响范围逐渐扩展至市区。12:30—13:30(图 9d~9f),对流云团处于快速发展阶段,Q矢量散度范围进一步扩大,其值降至-0.6 ×10-11 hPa-1· s-3。这表明在对流中心区域存在明显的垂直上升运动,且其强度逐渐增强。
进一步将扰动露点温度、扰动温度与Q矢量散度场进行叠加分析,可以发现,海风锋出现在北部沿江区域的扰动温度梯度处,且附近伴有一定的辐合抬升。随着海风锋不断向市区方向推进,城区附近扰动温度大值区范围有所缩小、扰动露点温度正值区扩大,这种扰动为深对流初生提供了有利的热力学环境(Mueller and Carbone, 1987;Bodine et al,2010)。此外,虽然海风锋对城市热岛效应有削弱作用,但是海风锋自身的辐合抬升气流与城市热岛产生的辐合上升气流相遇,促使二者相遇处的辐合上升运动进一步增强,进而触发该地不稳定能量释放,导致了此次局地强对流。以上分析表明,对于此次强对流的临近预报而言,其预警时效早于雷达反射率因子与可见光云图,可以提高到100 min。
5 结论2022年8月13日午后,上海近海岸发生一次副高控制下的局地强对流过程。本文基于分钟级地面自动气象站数据、FY-4A可见光云图及双偏振雷达反射率因子等多源观测资料,采用Q矢量、扰动露点温度、扰动温度等诊断量,分析了此次局地强对流的成因及临近预报。结果如下:
(1) 若以地面开始有降水出现的13:10作为此次局地强对流开始发生时间,那么雷达反射率因子、FY-4A可见光云图、基于地面自动气象站资料计算的Q矢量散度叠加扰动露点温度和扰动温度分别可提前23、70、100 min出现预警指征,可见,天-空-地一体协同监测及相互印证,不仅可以显著提升对局地强对流初生的提前预警时效,还可减少漏报现象。同时,提前预警时效差异也在一定程度上反映出此次强对流过程是由局地发展起来的。
(2) 13日13:00之前,上海城区35℃以上高温提供了良好的局地热力强迫条件;同时,由于陆、水下垫面属性的差异,导致城市陆地气温高于毗邻的长江水域气温,引发了向岸江风,一方面其经历水陆下垫面突变及城市陆地复杂下垫面,致使风向和风速形成辐合,另一方面冷暖空气交汇导致大气不稳定,提供了良好的局地动力、热力强迫条件。
(3) 城区附近扰动温度和扰动露点温度的变化,可为深对流初生提供有利的热力学环境。地面出现较为明显Q矢量散度辐合场并一直持续到降水发生,表明地面的动力和热力强迫作用激发产生了垂直上升运动。此外,海风锋自身的辐合抬升气流与城市热岛产生的辐合上升气流相遇,促使二者相遇处的辐合上升运动进一步增强,进而触发该地不稳定能量释放,导致了此次局地强对流。
本文选取的个例与岳彩军等(2018)研究的个例相比,增加了FY-4A可见光云图与多仰角雷达反射率因子分析,值得注意的是,局地热力、动力强迫作用皆是两次对流发生的关键。之后将选取更多的个例进行合成分析,以期将高时空分辨率的多源数据运用到局地强对流的分析与预报工作中。
曹春燕, 陈元昭, 刘东华, 等, 2015. 光流法及其在临近预报中的应用[J]. 气象学报, 73(3): 471-480. Cao C Y, Chen Y Z, Liu D H, et al, 2015. The optical flow method and its application to nowcasting[J]. Acta Meteor Sin, 73(3): 471-480 (in Chinese).
|
傅云飞, 冼桃, 2017. 副热带高压中心区域内云和降水气候特征研究回顾与展望[J]. 暴雨灾害, 36(6): 489-497. Fu Y F, Xian T, 2017. Review and prospect of climate characteristics of cloud and precipitation in subtropical high center[J]. Torr Rain Dis, 36(6): 489-497 (in Chinese).
|
顾问, 谈建国, 常远勇, 2015. 1981—2013年上海地区强降水事件特征分析[J]. 气象与环境学报, 31(6): 107-114. Gu W, Tan J G, Chang Y Y, 2015. Characteristics of heavy rainfall events in Shanghai Region from 1981 to 2013[J]. J Meteor Environ, 31(6): 107-114 (in Chinese).
|
顾问, 张晶, 谈建国, 等, 2017. 上海夏季海风锋及其触发对流的时空分布和环流背景分析[J]. 热带气象学报, 33(5): 644-653. Gu W, Zhang J, Tan J G, et al, 2017. Characteristics and circulation background of Shanghai summer sea breeze front and its induced convection[J]. J Trop Meteor, 33(5): 644-653 (in Chinese).
|
郭巍, 崔林丽, 顾问, 等, 2018. 基于葵花8卫星的上海市夏季对流初生预报研究[J]. 气象, 44(9): 1229-1236. Guo W, Cui L L, Gu W, et al, 2018. Summer convective initiation forecasting in Shanghai based on Himawari-8 satellite[J]. Meteor Mon, 44(9): 1229-1236 (in Chinese). DOI:10.7519/j.issn.1000-0526.2018.09.011
|
李文娟, 赵放, 郦敏杰, 等, 2018. 基于数值预报和随机森林算法的强对流天气分类预报技术[J]. 气象, 44(12): 1555-1564. Li W J, Zhao F, Li M J, et al, 2018. Forecasting and classification of severe convective weather based on numerical forecast and random forest algorithm[J]. Meteor Mon, 44(12): 1555-1564 (in Chinese). DOI:10.7519/j.issn.10000526.2018.12.005
|
漆梁波, 陈雷, 2009. 上海局地强对流天气及临近预报要点[J]. 气象, 35(9): 11-17. Qi L B, Chen L, 2009. Local severe convective weather in Shanghai and its nowcasting summary[J]. Meteor Mon, 35(9): 11-17 (in Chinese). DOI:10.7519/j.issn.1000-0526.2009.9.002
|
孙继松, 2023. 与直线型对流大风相关的强风暴形态结构和热动力学过程[J]. 气象, 49(1): 1-11. Sun J S, 2023. The pattern structure and thermodynamic and dynamic processes of severe storms associated with linear convective gales[J]. Meteor Mon, 49(1): 1-11 (in Chinese). DOI:10.7519/j.issn.1000-0526.2022.111802
|
王晓峰, 王平, 张蕾, 等, 2015. 上海"7·31"局地强对流快速更新同化数值模拟研究[J]. 高原气象, 34(1): 124-136. Wang X F, Wang P, Zhang L, et al, 2015. Numerical simulation of '7·31' severe convection event in Shanghai using rapid refresh technique[J]. Plateau Meteor, 34(1): 124-136 (in Chinese).
|
尹红萍, 曹晓岗, 2010. 盛夏上海地区副热带高压型强对流特点分析[J]. 气象, 36(8): 19-25. Yin H P, Cao X G, 2010. Summary on subtropical high severe convection during midsummer in Shanghai Area[J]. Meteor Mon, 36(8): 19-25 (in Chinese). DOI:10.7519/j.issn.1000-0526.2010.8.003
|
俞小鼎, 郑永光, 2020. 中国当代强对流天气研究与业务进展[J]. 气象学报, 78(3): 391-418. Yu X D, Zheng Y G, 2020. Advances in severe convective weather research and operational service in China[J]. Acta Meteo Sin, 78(3): 391-418 (in Chinese).
|
袁凯, 李武阶, 李明, 等, 2022. 四种机器深度学习算法对武汉地区雷达回波临近预报的检验和评估[J]. 气象, 48(4): 428-441. Yuan K, Li W J, Li M, et al, 2022. Examination and evaluation of four machine deep learning algorithms for radar echo nowcasting in Wuhan Region[J]. Meteor Mon, 48(4): 428-441 (in Chinese). DOI:10.7519/j.issn.1000-0526.2021.102001
|
岳彩军, 2009. "海棠"台风(2005)结构对其降水影响的Q矢量分解研究[J]. 高原气象, 28(6): 1348-1364. Yue C J, 2009. Q vector partitioning study on effects of typhoon structures on precipitation associated with Typhoon Haitang(2005)[J]. Plateau Meteor, 28(6): 1348-1364 (in Chinese).
|
岳彩军, 顾问, 唐玉琪, 等, 2018. 西太平洋副热带高压控制下上海地区一次局地短时强降水成因的Q矢量分析[J]. 热带气象学报, 34(5): 610-625. Yue C J, Gu W, Tang Y Q, et al, 2018. Analyzing the cause of a local short-lived severe precipitation in Shanghai under the control of Western Pacific subtropical high based on Q vector[J]. J Trop Meteor, 34(5): 610-625 (in Chinese).
|
张树民, 缪燕, 周金磊, 等, 2017. 副热带高压脊线附近江苏两次强对流天气对比分析[J]. 暴雨灾害, 36(5): 422-430. Zhang S M, Miao Y, Zhou J L, et al, 2017. Comparative analysis on two severe convective weather events occurred near the subtropical high ridge in Jiangsu Province[J]. Torr Rain Dis, 36(5): 422-430 (in Chinese).
|
郑永光, 周康辉, 盛杰, 等, 2015. 强对流天气监测预报预警技术进展[J]. 应用气象学报, 26(6): 641-657. Zheng Y G, Zhou K H, Sheng J, et al, 2015. Advances in techniques of monitoring, forecasting and warning of severe convective weather[J]. J Appl Meteor Sci, 26(6): 641-657 (in Chinese).
|
Bodine D, Heinselman P L, Cheong B L, et al, 2010. A case study on the impact of moisture variability on convection initiation using radar refractivity retrievals[J]. J Appl Meteor Climatol, 49(8): 1766-1778. DOI:10.1175/2010JAMC2360.1
|
Doswell C A Ⅲ, 1987. The distinction between large-scale and meso-scale contribution to severe convection: a case study example[J]. Wea Forecasting, 2(1): 3-16. DOI:10.1175/1520-0434(1987)002<0003:TDBLSA>2.0.CO;2
|
McNulty R P, 1995. Severe and convective weather: a central region forecasting challenge[J]. Wea Forecasting, 10(2): 187-202. DOI:10.1175/1520-0434(1995)010<0187:SACWAC>2.0.CO;2
|
Mecikalski J R, MacKenzie W M Jr, Koenig M, et al, 2010a. Cloud-Top properties of growing cumulus prior to convective initiation as measured by meteosat second generation. Part Ⅰ: infrared fields[J]. J Appl Meteor Climatol, 49(3): 521-534. DOI:10.1175/2009JAMC2344.1
|
Mecikalski J R, MacKenzie W M Jr, König M, et al, 2010b. Cloud-top properties of growing cumulus prior to convective initiation as measured by meteosat second generation. Part Ⅱ:use of visible reflectance[J]. J Appl Meteor Climatol, 49(12): 2544-2558. DOI:10.1175/2010JAMC2480.1
|
Miller R C, 1972. Notes on analysis and severe storm forecasting procedures of the air force global weather central[R]. Air Weather Service Tech Rep 200 (Rev), Air Weather Service Headquarters, Scott Air Force Base, IL.
|
Moller A R, 2001. Severe local storms forecasting[C]//Doswell C A. Severe Convective Storms. Boston: American Meteorological Society: 433-480.
|
Mueller C K, Carbone R E, 1987. Dynamics of a thunderstorm outflow[J]. J Atmos Sci, 44(15): 1879-1898. DOI:10.1175/1520-0469(1987)044<1879:DOATO>2.0.CO;2
|
Tran Q K, Song S K, 2019. Computer vision in precipitation nowcasting: applying image quality assessment metrics for training deep neural networks[J]. Atmosphere, 10(5): 244. DOI:10.3390/atmos10050244
|
Zhou K H, Zheng Y G, Li B, et al, 2019. Forecasting different types of convective weather: a deep learning approach[J]. J Meteor Res, 33(5): 797-809. DOI:10.1007/s13351-019-8162-6
|
2025, Vol. 51 
